


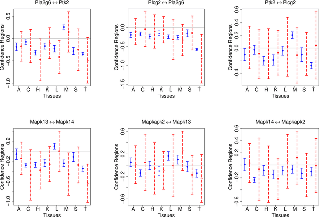
We propose a new inferential framework for constructing confidence regions and testing hypotheses in statistical models specified by a system of high dimensional estimating equations. We construct an influence function by projecting the fitted estimating equations to a sparse direction obtained by solving a large-scale linear program. Our main theoretical contribution is to establish a unified Z-estimation theory of confidence regions for high dimensional problems. Different from existing methods, all of which require the specification of the likelihood or pseudo-likelihood, our framework is likelihood-free. As a result, our approach provides valid inference for a broad class of high dimensional constrained estimating equation problems, which are not covered by existing methods. Such examples include, noisy compressed sensing, instrumental variable regression, undirected graphical models, discriminant analysis and vector autoregressive models. We present detailed theoretical results for all these examples. Finally, we conduct thorough numerical simulations, and a real dataset analysis to back up the developed theoretical results.