Abstract:The significant advancements in visual understanding and instruction following from Multimodal Large Language Models (MLLMs) have opened up more possibilities for broader applications in diverse and universal human-centric scenarios. However, existing image-text data may not support the precise modality alignment and integration of multi-grained information, which is crucial for human-centric visual understanding. In this paper, we introduce HERM-Bench, a benchmark for evaluating the human-centric understanding capabilities of MLLMs. Our work reveals the limitations of existing MLLMs in understanding complex human-centric scenarios. To address these challenges, we present HERM-100K, a comprehensive dataset with multi-level human-centric annotations, aimed at enhancing MLLMs' training. Furthermore, we develop HERM-7B, a MLLM that leverages enhanced training data from HERM-100K. Evaluations on HERM-Bench demonstrate that HERM-7B significantly outperforms existing MLLMs across various human-centric dimensions, reflecting the current inadequacy of data annotations used in MLLM training for human-centric visual understanding. This research emphasizes the importance of specialized datasets and benchmarks in advancing the MLLMs' capabilities for human-centric understanding.




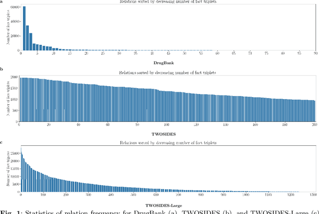
Abstract:Background: Discovering potential drug-drug interactions (DDIs) is a long-standing challenge in clinical treatments and drug developments. Recently, deep learning techniques have been developed for DDI prediction. However, they generally require a huge number of samples, while known DDIs are rare. Methods: In this work, we present KnowDDI, a graph neural network-based method that addresses the above challenge. KnowDDI enhances drug representations by adaptively leveraging rich neighborhood information from large biomedical knowledge graphs. Then, it learns a knowledge subgraph for each drug-pair to interpret the predicted DDI, where each of the edges is associated with a connection strength indicating the importance of a known DDI or resembling strength between a drug-pair whose connection is unknown. Thus, the lack of DDIs is implicitly compensated by the enriched drug representations and propagated drug similarities. Results: We evaluate KnowDDI on two benchmark DDI datasets. Results show that KnowDDI obtains the state-of-the-art prediction performance with better interpretability. We also find that KnowDDI suffers less than existing works given a sparser knowledge graph. This indicates that the propagated drug similarities play a more important role in compensating for the lack of DDIs when the drug representations are less enriched. Conclusions: KnowDDI nicely combines the efficiency of deep learning techniques and the rich prior knowledge in biomedical knowledge graphs. As an original open-source tool, KnowDDI can help detect possible interactions in a broad range of relevant interaction prediction tasks, such as protein-protein interactions, drug-target interactions and disease-gene interactions, eventually promoting the development of biomedicine and healthcare.