



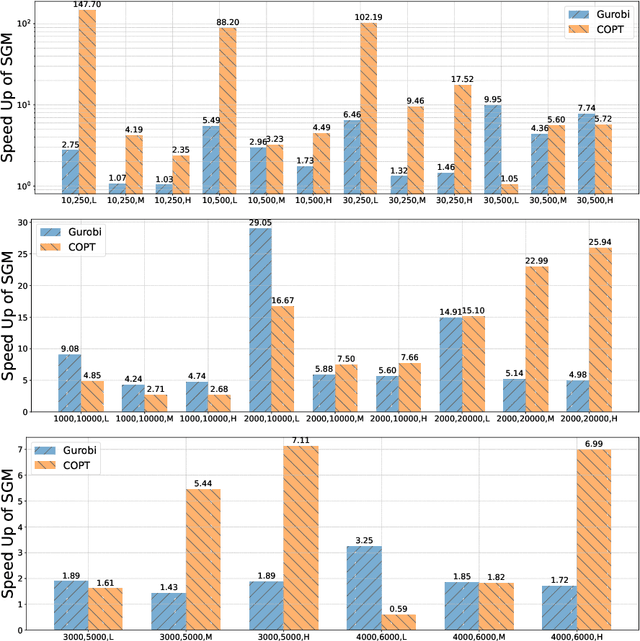
Abstract:We propose a new method to accelerate online Mixed Integer Optimization with Pre-trained machine learning models (PreMIO). The key component of PreMIO is a multi-variable cardinality branching procedure that splits the feasible region with data-driven hyperplanes, which can be easily integrated into any MIP solver with two lines of code. Moreover, we incorporate learning theory and concentration inequalities to develop a straightforward and interpretable hyper-parameter selection strategy for our method. We test the performance of PreMIO by applying it to state-of-the-art MIP solvers and running numerical experiments on both classical OR benchmark datasets and real-life instances. The results validate the effectiveness of our proposed method.