Abstract:Text-to-SQL translation enables non-expert users to query relational databases using natural language, with applications in education and business intelligence. This study evaluates three lightweight transformer models - T5-Small, BART-Small, and GPT-2 - on the Spider dataset, focusing on low-resource settings. We developed a reusable, model-agnostic pipeline that tailors schema formatting to each model's architecture, training them across 1000 to 5000 iterations and evaluating on 1000 test samples using Logical Form Accuracy (LFAcc), BLEU, and Exact Match (EM) metrics. Fine-tuned T5-Small achieves the highest LFAcc (27.8%), outperforming BART-Small (23.98%) and GPT-2 (20.1%), highlighting encoder-decoder models' superiority in schema-aware SQL generation. Despite resource constraints limiting performance, our pipeline's modularity supports future enhancements, such as advanced schema linking or alternative base models. This work underscores the potential of compact transformers for accessible text-to-SQL solutions in resource-scarce environments.

Abstract:Quantum machine learning, focusing on quantum neural networks (QNNs), remains a vastly uncharted field of study. Current QNN models primarily employ variational circuits on an ansatz or a quantum feature map, often requiring multiple entanglement layers. This methodology not only increases the computational cost of the circuit beyond what is practical on near-term quantum devices but also misleadingly labels these models as neural networks, given their divergence from the structure of a typical feed-forward neural network (FFNN). Moreover, the circuit depth and qubit needs of these models scale poorly with the number of data features, resulting in an efficiency challenge for real-world machine-learning tasks. We introduce a bona fide QNN model, which seamlessly aligns with the versatility of a traditional FFNN in terms of its adaptable intermediate layers and nodes, absent from intermediate measurements such that our entire model is coherent. This model stands out with its reduced circuit depth and number of requisite C-NOT gates to outperform prevailing QNN models. Furthermore, the qubit count in our model remains unaffected by the data's feature quantity. We test our proposed model on various benchmarking datasets such as the diagnostic breast cancer (Wisconsin) and credit card fraud detection datasets. We compare the outcomes of our model with the existing QNN methods to showcase the advantageous efficacy of our approach, even with a reduced requirement on quantum resources. Our model paves the way for application of quantum neural networks to real relevant machine learning problems.

Abstract:Memory-based medication non-adherence is an unsolved problem that is responsible for considerable disease burden in the United States. Digital medication intake reminder solutions with minimal onboarding requirements that are usable at the point of medication acquisition may help to alleviate this problem by offering a low barrier way to help people remember to take their medications. In this paper, we propose memorAIs, a digital medication intake reminder solution that mitigates onboarding friction by leveraging optical character recognition strategies for text extraction from medication bottles and rule based expressions for text processing to create configured medication reminders as local device calendar invitations. We describe our ideation and development process, as well as limitations of the current implementation. memorAIs was the winner of the Patient Safety award at the 2023 Columbia University DivHacks Hackathon, presented by the Patient Safety Technology Challenge, sponsored by the Pittsburgh Regional Health Initiative.





Abstract:Resistive Random Access Memory (RRAM) and Phase Change Memory (PCM) devices have been popularly used as synapses in crossbar array based analog Neural Network (NN) circuit to achieve more energy and time efficient data classification compared to conventional computers. Here we demonstrate the advantages of recently proposed spin orbit torque driven Domain Wall (DW) device as synapse compared to the RRAM and PCM devices with respect to on-chip learning (training in hardware) in such NN. Synaptic characteristic of DW synapse, obtained by us from micromagnetic modeling, turns out to be much more linear and symmetric (between positive and negative update) than that of RRAM and PCM synapse. This makes design of peripheral analog circuits for on-chip learning much easier in DW synapse based NN compared to that for RRAM and PCM synapses. We next incorporate the DW synapse as a Verilog-A model in the crossbar array based NN circuit we design on SPICE circuit simulator. Successful on-chip learning is demonstrated through SPICE simulations on the popular Fisher's Iris dataset. Time and energy required for learning turn out to be orders of magnitude lower for DW synapse based NN circuit compared to that for RRAM and PCM synapse based NN circuits.





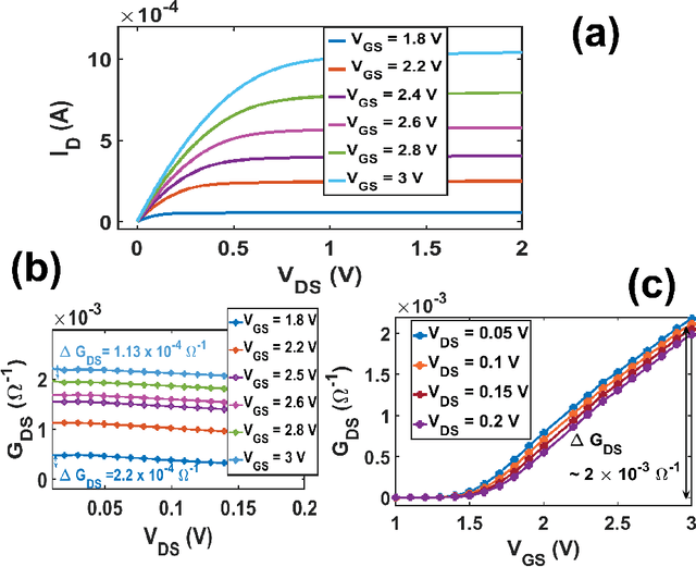
Abstract:On-chip learning in a crossbar array based analog hardware Neural Network (NN) has been shown to have major advantages in terms of speed and energy compared to training NN on a traditional computer. However analog hardware NN proposals and implementations thus far have mostly involved Non Volatile Memory (NVM) devices like Resistive Random Access Memory (RRAM), Phase Change Memory (PCM), spintronic devices or floating gate transistors as synapses. Fabricating systems based on RRAM, PCM or spintronic devices need in-house laboratory facilities and cannot be done through merchant foundries, unlike conventional silicon based CMOS chips. Floating gate transistors need large voltage pulses for weight update, making on-chip learning in such systems energy inefficient. This paper proposes and implements through SPICE simulations on-chip learning in analog hardware NN using only conventional silicon based MOSFETs (without any floating gate) as synapses since they are easy to fabricate. We first model the synaptic characteristic of our single transistor synapse using SPICE circuit simulator and benchmark it against experimentally obtained current-voltage characteristics of a transistor. Next we design a Fully Connected Neural Network (FCNN) crossbar array using such transistor synapses. We also design analog peripheral circuits for neuron and synaptic weight update calculation, needed for on-chip learning, again using conventional transistors. Simulating the entire system on SPICE simulator, we obtain high training and test accuracy on the standard Fisher's Iris dataset, widely used in machine learning. We also compare the speed and energy performance of our transistor based implementation of analog hardware NN with some previous implementations of NN with NVM devices and show comparable performance with respect to on-chip learning.
