Abstract:Exploring and detecting community structures hold significant importance in genetics, social sciences, neuroscience, and finance. Especially in graphical models, community detection can encourage the exploration of sets of variables with group-like properties. In this paper, within the framework of Gaussian graphical models, we introduce a novel decomposition of the underlying graphical structure into a sparse part and low-rank diagonal blocks (non-overlapped communities). We illustrate the significance of this decomposition through two modeling perspectives and propose a three-stage estimation procedure with a fast and efficient algorithm for the identification of the sparse structure and communities. Also on the theoretical front, we establish conditions for local identifiability and extend the traditional irrepresentability condition to an adaptive form by constructing an effective norm, which ensures the consistency of model selection for the adaptive $\ell_1$ penalized estimator in the second stage. Moreover, we also provide the clustering error bound for the K-means procedure in the third stage. Extensive numerical experiments are conducted to demonstrate the superiority of the proposed method over existing approaches in estimating graph structures. Furthermore, we apply our method to the stock return data, revealing its capability to accurately identify non-overlapped community structures.




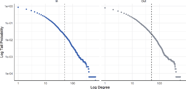
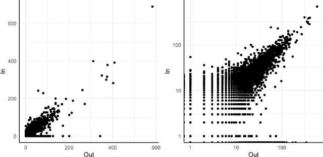
Abstract:Reciprocity, or the tendency of individuals to mirror behavior, is a key measure that describes information exchange in a social network. Users in social networks tend to engage in different levels of reciprocal behavior. Differences in such behavior may indicate the existence of communities that reciprocate links at varying rates. In this paper, we develop methodology to model the diverse reciprocal behavior in growing social networks. In particular, we present a preferential attachment model with heterogeneous reciprocity that imitates the attraction users have for popular users, plus the heterogeneous nature by which they reciprocate links. We compare Bayesian and frequentist model fitting techniques for large networks, as well as computationally efficient variational alternatives. Cases where the number of communities are known and unknown are both considered. We apply the presented methods to the analysis of a Facebook wallpost network where users have non-uniform reciprocal behavior patterns. The fitted model captures the heavy-tailed nature of the empirical degree distributions in the Facebook data and identifies multiple groups of users that differ in their tendency to reply to and receive responses to wallposts.