



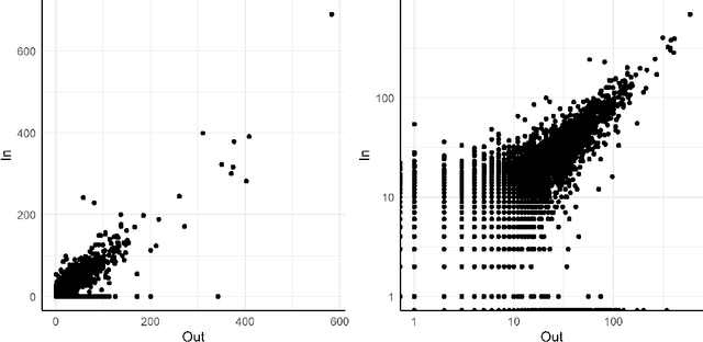
Abstract:Reciprocity, or the tendency of individuals to mirror behavior, is a key measure that describes information exchange in a social network. Users in social networks tend to engage in different levels of reciprocal behavior. Differences in such behavior may indicate the existence of communities that reciprocate links at varying rates. In this paper, we develop methodology to model the diverse reciprocal behavior in growing social networks. In particular, we present a preferential attachment model with heterogeneous reciprocity that imitates the attraction users have for popular users, plus the heterogeneous nature by which they reciprocate links. We compare Bayesian and frequentist model fitting techniques for large networks, as well as computationally efficient variational alternatives. Cases where the number of communities are known and unknown are both considered. We apply the presented methods to the analysis of a Facebook wallpost network where users have non-uniform reciprocal behavior patterns. The fitted model captures the heavy-tailed nature of the empirical degree distributions in the Facebook data and identifies multiple groups of users that differ in their tendency to reply to and receive responses to wallposts.