Abstract:We present the design principles of a nurse scheduling system built using Answer Set Programming (ASP) and successfully deployed at the University of Yamanashi Hospital. Nurse scheduling is a complex optimization problem requiring the reconciliation of individual nurse preferences with hospital staffing needs across various wards. This involves balancing hard and soft constraints and the flexibility of interactive adjustments. While extensively studied in academia, real-world nurse scheduling presents unique challenges that go beyond typical benchmark problems and competitions. This paper details the practical application of ASP to address these challenges at the University of Yamanashi Hospital, focusing on the insights gained and the advancements in ASP technology necessary to effectively manage the complexities of real-world deployment.
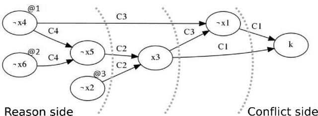
Abstract:The dominating set reconfiguration problem is defined as determining, for a given dominating set problem and two among its feasible solutions, whether one is reachable from the other via a sequence of feasible solutions subject to a certain adjacency relation. This problem is PSPACE-complete in general. The concept of the dominating set is known to be quite useful for analyzing wireless networks, social networks, and sensor networks. We develop an approach to solve the dominating set reconfiguration problem based on Answer Set Programming (ASP). Our declarative approach relies on a high-level ASP encoding, and both the grounding and solving tasks are delegated to an ASP-based combinatorial reconfiguration solver. To evaluate the effectiveness of our approach, we conduct experiments on a newly created benchmark set.
Abstract:We propose Large Neighborhood Prioritized Search (LNPS) for solving combinatorial optimization problems in Answer Set Programming (ASP). LNPS is a metaheuristic that starts with an initial solution and then iteratively tries to find better solutions by alternately destroying and prioritized searching for a current solution. Due to the variability of neighborhoods, LNPS allows for flexible search without strongly depending on the destroy operators. We present an implementation of LNPS based on ASP. The resulting heulingo solver demonstrates that LNPS can significantly enhance the solving performance of ASP for optimization. Furthermore, we establish the competitiveness of our LNPS approach by empirically contrasting it to (adaptive) large neighborhood search.
Abstract:This paper collects all descriptions of solvers and ISR instances submitted to CoRe Challenge 2023.




Abstract:This paper collects all descriptions of solvers and ISR instances submitted to CoRe Challenge 2022.




Abstract:All solutions SAT (AllSAT for short) is a variant of propositional satisfiability problem. Despite its significance, AllSAT has been relatively unexplored compared to other variants. We thus survey and discuss major techniques of AllSAT solvers. We faithfully implement them and conduct comprehensive experiments using a large number of instances and various types of solvers including one of the few public softwares. The experiments reveal solver's characteristics. Our implemented solvers are made publicly available so that other researchers can easily develop their solver by modifying our codes and compare it with existing methods.


Abstract:Encoding finite linear CSPs as Boolean formulas and solving them by using modern SAT solvers has proven to be highly effective, as exemplified by the award-winning sugar system. We here develop an alternative approach based on ASP. This allows us to use first-order encodings providing us with a high degree of flexibility for easy experimentation with different implementations. The resulting system aspartame re-uses parts of sugar for parsing and normalizing CSPs. The obtained set of facts is then combined with an ASP encoding that can be grounded and solved by off-the-shelf ASP systems. We establish the competitiveness of our approach by empirically contrasting aspartame and sugar.