



Abstract:Dense arrays can facilitate the integration of multiple antennas into finite volumes. In addition to the compact size, sub-wavelength spacing enables superdirectivity for endfire operation, a phenomenon that has been mainly studied for isotropic and infinitesimal radiators. In this work, we focus on linear dipoles of arbitrary yet finite length. Specifically, we first introduce an array model that accounts for the sinusoidal current distribution (SCD) on very thin dipoles. Based on the SCD, the loss resistance of each dipole antenna is precisely determined. Capitalizing on the derived model, we next investigate the maximum achievable rate under a fixed power constraint. The optimal design entails conjugate power matching along with maximizing the array gain. Our theoretical analysis is corroborated by the method of moments under the thin-wire approximation, as well as by full-wave simulations. Numerical results showcase that a super-gain is attainable with high radiation efficiency when the dipole antennas are not too short and thin.




Abstract:Terahertz (THz) communication is widely deemed the next frontier of wireless networks owing to the abundant spectrum resources in the THz band. Whilst THz signals suffer from severe propagation losses, a massive antenna array can be deployed at the base station (BS) to mitigate those losses through beamforming. Nevertheless, a large number of antennas increases the hardware complexity and circuit power consumption, and hence it can lead to poor energy efficiency (EE). To surmount this fundamental problem, we propose a novel array design based on coupled antenna pairs. Specifically, we exploit the mutual coupling between closely spaced antennas to form superdirective pairs. A unique property of them is that all require the same excitation amplitude, and therefore can be driven by a single radio frequency chain akin to conventional phased arrays. Moreover, they facilitate the implementation of multi-port impedance matching, which ensures maximum power transfer for any beamforming angle. After addressing the hardware-related problems of superdirectivity, we show that the number of BS antennas can be effectively reduced without sacrificing the achievable rate. Simulation results showcase that our design offers huge EE gains compared to uncoupled uniform linear arrays, and hence could be a radical solution for future THz systems.



Abstract:In this paper, we study the performance of wideband terahertz (THz) communications assisted by an intelligent reflecting surface (IRS). Specifically, we first introduce a generalized channel model that is suitable for electrically large THz IRSs operating in the near-field. Unlike prior works, our channel model takes into account the spherical wavefront of the emitted electromagnetic waves and the spatial-wideband effect. We next show that conventional frequency-flat beamfocusing significantly reduces the power gain due to beam squint, and hence is highly suboptimal. More importantly, we analytically characterize this reduction when the spacing between adjacent reflecting elements is negligible, i.e., holographic reflecting surfaces. Numerical results corroborate our analysis and provide important insights into the design of future IRS-aided THz systems.




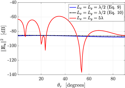
Abstract:Intelligent reflecting surface (IRS)-assisted wireless communication is widely deemed a key technology for 6G systems. The main challenge in deploying an IRS-aided terahertz (THz) link, though, is the severe propagation losses at high frequency bands. Hence, a THz IRS is expected to consist of a massive number of reflecting elements to compensate for those losses. However, as the IRS size grows, the conventional far-field assumption starts becoming invalid and the spherical wavefront of the radiated waves must be taken into account. In this work, we focus on the near-field and analytically determine the IRS response in the Fresnel zone by leveraging electromagnetic theory. Specifically, we derive a novel expression for the path loss and beampattern of a holographic IRS, which is then used to model its discrete counterpart. Our analysis sheds light on the modeling aspects and beamfocusing capabilities of THz IRSs.




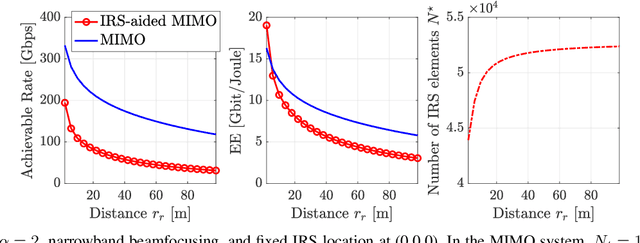
Abstract:An intelligent reflecting surface (IRS) at terahertz (THz) bands is expected to have a massive number of reflecting elements to compensate for the severe propagation losses. However, as the IRS size grows, the conventional far-field assumption starts becoming invalid and the spherical wavefront of the radiated waves should be taken into account. In this work, we consider a spherical wave channel model and pursue a comprehensive study of IRS-aided multiple-input multiple-output (MIMO) in terms of power gain and energy efficiency (EE). Specifically, we first analyze the power gain under beamfocusing and beamforming, and show that the latter is suboptimal even for multiple meters away from the IRS. To this end, we derive an approximate, yet accurate, closed-form expression for the loss in the power gain under beamforming. Building on the derived model, we next show that an IRS can significantly improve the EE of MIMO when it operates in the radiating near-field and performs beamfocusing. Numerical results corroborate our analysis and provide novel insights into the design and performance of IRS-assisted THz communication.




Abstract:This paper summarizes an investigation around millimeter-wave (mmWave) multimode circular antenna array based beamformer capable of specially encoded data transmission in a wide coverage area. The circular antenna array is capable of an entire 360 deg. azimuth sector coverage where broadcast, uni-cast and multi-cast radio transmissions are possible. Orbital angular momentum (OAM) mode transmission along the elevation axis, i.e., perpendicular to the azimuth plane, can also be achieved. These two types of spatially encoded beamforming makes coverage in almost an entire hemisphere possible. The circular array is developed using twelve multilayer patch antennas with unique radiation performance aiding in both azimuth and elevation radiation. The proposed array architecture and its radiation performance makes it a good candidate for spatially encoded beamforming for mmWave 5G.