



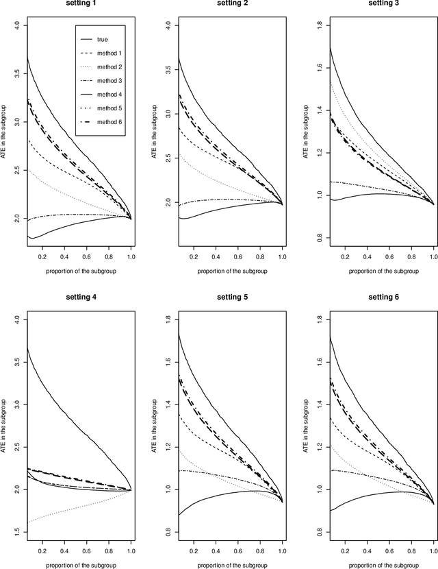
Abstract:While sample sizes in randomized clinical trials are large enough to estimate the average treatment effect well, they are often insufficient for estimation of treatment-covariate interactions critical to studying data-driven precision medicine. Observational data from real world practice may play an important role in alleviating this problem. One common approach in trials is to predict the outcome of interest with separate regression models in each treatment arm, and recommend interventions based on the contrast of the predicted outcomes. Unfortunately, this simple approach may induce spurious treatment-covariate interaction in observational studies when the regression model is misspecified. Motivated by the need of modeling the number of relapses in multiple sclerosis patients, where the ratio of relapse rates is a natural choice of the treatment effect, we propose to estimate the conditional average treatment effect (CATE) as the relative ratio of the potential outcomes, and derive a doubly robust estimator of this CATE in a semiparametric model of treatment-covariate interactions. We also provide a validation procedure to check the quality of the estimator on an independent sample. We conduct simulations to demonstrate the finite sample performance of the proposed methods, and illustrate the advantage of this approach on real data examining the treatment effect of dimethyl fumarate compared to teriflunomide in multiple sclerosis patients.