



Abstract:Recent advances in diffusion models have demonstrated their remarkable ability to capture complex image distributions, but the geometric properties of the learned data manifold remain poorly understood. We address this gap by introducing a score-based Riemannian metric that leverages the Stein score function from diffusion models to characterize the intrinsic geometry of the data manifold without requiring explicit parameterization. Our approach defines a metric tensor in the ambient space that stretches distances perpendicular to the manifold while preserving them along tangential directions, effectively creating a geometry where geodesics naturally follow the manifold's contours. We develop efficient algorithms for computing these geodesics and demonstrate their utility for both interpolation between data points and extrapolation beyond the observed data distribution. Through experiments on synthetic data with known geometry, Rotated MNIST, and complex natural images via Stable Diffusion, we show that our score-based geodesics capture meaningful transformations that respect the underlying data distribution. Our method consistently outperforms baseline approaches on perceptual metrics (LPIPS) and distribution-level metrics (FID, KID), producing smoother, more realistic image transitions. These results reveal the implicit geometric structure learned by diffusion models and provide a principled way to navigate the manifold of natural images through the lens of Riemannian geometry.
Abstract:To understand sensory coding, we must ask not only how much information neurons encode, but also what that information is about. This requires decomposing mutual information into contributions from individual stimuli and stimulus features fundamentally ill-posed problem with infinitely many possible solutions. We address this by introducing three core axioms, additivity, positivity, and locality that any meaningful stimulus-wise decomposition should satisfy. We then derive a decomposition that meets all three criteria and remains tractable for high-dimensional stimuli. Our decomposition can be efficiently estimated using diffusion models, allowing for scaling up to complex, structured and naturalistic stimuli. Applied to a model of visual neurons, our method quantifies how specific stimuli and features contribute to encoded information. Our approach provides a scalable, interpretable tool for probing representations in both biological and artificial neural systems.
Abstract:We present a novel approach to neural response prediction that incorporates higher-order operations directly within convolutional neural networks (CNNs). Our model extends traditional 3D CNNs by embedding higher-order operations within the convolutional operator itself, enabling direct modeling of multiplicative interactions between neighboring pixels across space and time. Our model increases the representational power of CNNs without increasing their depth, therefore addressing the architectural disparity between deep artificial networks and the relatively shallow processing hierarchy of biological visual systems. We evaluate our approach on two distinct datasets: salamander retinal ganglion cell (RGC) responses to natural scenes, and a new dataset of mouse RGC responses to controlled geometric transformations. Our higher-order CNN (HoCNN) achieves superior performance while requiring only half the training data compared to standard architectures, demonstrating correlation coefficients up to 0.75 with neural responses (against 0.80$\pm$0.02 retinal reliability). When integrated into state-of-the-art architectures, our approach consistently improves performance across different species and stimulus conditions. Analysis of the learned representations reveals that our network naturally encodes fundamental geometric transformations, particularly scaling parameters that characterize object expansion and contraction. This capability is especially relevant for specific cell types, such as transient OFF-alpha and transient ON cells, which are known to detect looming objects and object motion respectively, and where our model shows marked improvement in response prediction. The correlation coefficients for scaling parameters are more than twice as high in HoCNN (0.72) compared to baseline models (0.32).
Abstract:We propose a novel approach to image classification inspired by complex nonlinear biological visual processing, whereby classical convolutional neural networks (CNNs) are equipped with learnable higher-order convolutions. Our model incorporates a Volterra-like expansion of the convolution operator, capturing multiplicative interactions akin to those observed in early and advanced stages of biological visual processing. We evaluated this approach on synthetic datasets by measuring sensitivity to testing higher-order correlations and performance in standard benchmarks (MNIST, FashionMNIST, CIFAR10, CIFAR100 and Imagenette). Our architecture outperforms traditional CNN baselines, and achieves optimal performance with expansions up to 3rd/4th order, aligning remarkably well with the distribution of pixel intensities in natural images. Through systematic perturbation analysis, we validate this alignment by isolating the contributions of specific image statistics to model performance, demonstrating how different orders of convolution process distinct aspects of visual information. Furthermore, Representational Similarity Analysis reveals distinct geometries across network layers, indicating qualitatively different modes of visual information processing. Our work bridges neuroscience and deep learning, offering a path towards more effective, biologically inspired computer vision models. It provides insights into visual information processing and lays the groundwork for neural networks that better capture complex visual patterns, particularly in resource-constrained scenarios.


Abstract:Computational models of vision have traditionally been developed in a bottom-up fashion, by hierarchically composing a series of straightforward operations - i.e. convolution and pooling - with the aim of emulating simple and complex cells in the visual cortex, resulting in the introduction of deep convolutional neural networks (CNNs). Nevertheless, data obtained with recent neuronal recording techniques support that the nature of the computations carried out in the ventral visual stream is not completely captured by current deep CNN models. To fill the gap between the ventral visual stream and deep models, several benchmarks have been designed and organized into the Brain-Score platform, granting a way to perform multi-layer (V1, V2, V4, IT) and behavioral comparisons between the two counterparts. In our work, we aim to shift the focus on architectures that take into account lateral recurrent connections, a ubiquitous feature of the ventral visual stream, to devise adaptive receptive fields. Through recurrent connections, the input s long-range spatial dependencies can be captured in a local multi-step fashion and, as introduced with Gated Recurrent CNNs (GRCNN), the unbounded expansion of the neuron s receptive fields can be modulated through the use of gates. In order to increase the robustness of our approach and the biological fidelity of the activations, we employ specific data augmentation techniques in line with several of the scoring benchmarks. Enforcing some form of invariance, through heuristics, was found to be beneficial for better neural predictivity.




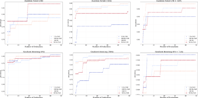
Abstract:Electrocorticogram (ECoG) well characterizes hand movement intentions and gestures. In the present work we aim to investigate the possibility to enhance hand pose classification, in a Rock-Paper-Scissor - and Rest - task, by introducing topological descriptors of time series data. We hypothesized that an innovative approach based on topological data analysis can extract hidden information that are not detectable with standard Brain Computer Interface (BCI)techniques. To investigate this hypothesis, we integrate topological features together with power band features and feed them to several standard classifiers, e.g. Random Forest,Gradient Boosting. Model selection is thus completed after a meticulous phase of bayesian hyperparameter optimization. With our method, we observed robust results in terms of ac-curacy for a four-labels classification problem, with limited available data. Through feature importance investigation, we conclude that topological descriptors are able to extract useful discriminative information and provide novel insights.Since our data are restricted to single-patient recordings, generalization might be limited. Nevertheless, our method can be extended and applied to a wide range of neurophysiological recordings and it might be an intriguing point of departure for future studies.




Abstract:The aim of this work is to evaluate the feasibility of re-implementing some key parts of the widely used Weather Research and Forecasting WRF-SFIRE simulator by replacing its core differential equations numerical solvers with state-of-the-art physics-informed machine learning techniques to solve ODEs and PDEs, in order to transform it into a real-time simulator for wildfire spread prediction. The main programming language used is Julia, a compiled language which offers better perfomance than interpreted ones, providing Just in Time (JIT) compilation with different optimization levels. Moreover, Julia is particularly well suited for numerical computation and for the solution of complex physical models, both considering the syntax and the presence of some specific libraries such as DifferentialEquations.jl and ModellingToolkit.jl.