



Abstract:Digital Behavior Change Interventions (DBCIs) are supporting development of new health behaviors. Evaluating their effectiveness is crucial for their improvement and understanding of success factors. However, comprehensive guidance for developers, particularly in small-scale studies with ethical constraints, is limited. Building on the CAPABLE project, this study aims to define effective engagement with DBCIs for supporting cancer patients in enhancing their quality of life. We identify metrics for measuring engagement, explore the interest of both patients and clinicians in DBCIs, and propose hypotheses for assessing the impact of DBCIs in such contexts. Our findings suggest that clinician prescriptions significantly increase sustained engagement with mobile DBCIs. In addition, while one weekly engagement with a DBCI is sufficient to maintain well-being, transitioning from extrinsic to intrinsic motivation may require a higher level of engagement.




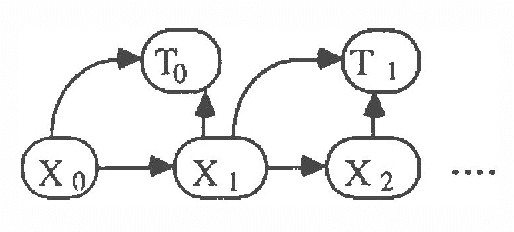
Abstract:In this paper we explore representations of temporal knowledge based upon the formalism of Causal Probabilistic Networks (CPNs). Two different ?continuous-time? representations are proposed. In the first, the CPN includes variables representing ?event-occurrence times?, possibly on different time scales, and variables representing the ?state? of the system at these times. In the second, the CPN describes the influences between random variables with values in () representing dates, i.e. time-points associated with the occurrence of relevant events. However, structuring a system of inter-related dates as a network where all links commit to a single specific notion of cause and effect is in general far from trivial and leads to severe difficulties. We claim that we should recognize explicitly different kinds of relation between dates, such as ?cause?, ?inhibition?, ?competition?, etc., and propose a method whereby these relations are coherently embedded in a CPN using additional auxiliary nodes corresponding to "instrumental" variables. Also discussed, though not covered in detail, is the topic concerning how the quantitative specifications to be inserted in a temporal CPN can be learned from specific data.