



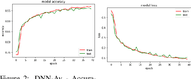
Abstract:With the rising use of Machine Learning (ML) and Deep Learning (DL) in various industries, the medical industry is also not far behind. A very simple yet extremely important use case of ML in this industry is for image classification. This is important for doctors to help them detect certain diseases timely, thereby acting as an aid to reduce chances of human judgement error. However, when using automated systems like these, there is a privacy concern as well. Attackers should not be able to get access to the medical records and images of the patients. It is also required that the model be secure, and that the data that is sent to the model and the predictions that are received both should not be revealed to the model in clear text. In this study, we aim to solve these problems in the context of a medical image classification problem of detection of pneumonia by examining chest x-ray images.



Abstract:This paper describes our submission system for the Shallow Track of Surface Realization Shared Task 2018 (SRST'18). The task was to convert genuine UD structures, from which word order information had been removed and the tokens had been lemmatized, into their correct sentential form. We divide the problem statement into two parts, word reinflection and correct word order prediction. For the first sub-problem, we use a Long Short Term Memory based Encoder-Decoder approach. For the second sub-problem, we present a Language Model (LM) based approach. We apply two different sub-approaches in the LM Based approach and the combined result of these two approaches is considered as the final output of the system.