Indian Institute of Technology Kanpur




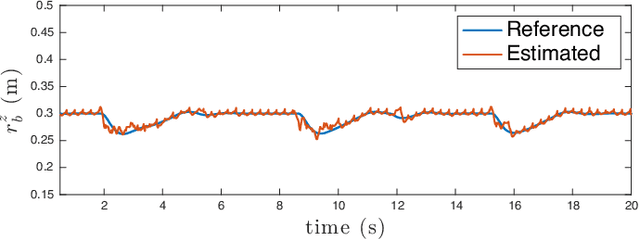
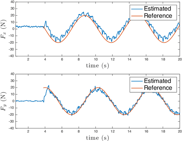
Abstract:This paper presents a novel method for assistive load carrying using quadruped robots. The controller uses proprioceptive sensor data to estimate external base wrench, that is used for precise control of the robot's acceleration during payload transport. The acceleration is controlled using a combination of admittance control and Control Barrier Function (CBF) based quadratic program (QP). The proposed controller rejects disturbances and maintains consistent performance under varying load conditions. Additionally, the built-in CBF guarantees collision avoidance with the collaborative agent in front of the robot. The efficacy of the overall controller is shown by its implementation on the physical hardware as well as numerical simulations. The proposed control framework aims to enhance the quadruped robot's ability to perform assistive tasks in various scenarios, from industrial applications to search and rescue operations.





Abstract:This paper presents a distributed inverse dynamics controller (DIDC) for quadruped robots that addresses the limitations of existing reactive controllers: simplified dynamical models, the inability to handle exact friction cone constraints, and the high computational requirements of whole-body controllers. Current methods either ignore friction constraints entirely or use linear approximations, leading to potential slip and instability, while comprehensive whole-body controllers demand significant computational resources. Our approach uses full rigid-body dynamics and enforces exact friction cone constraints through a novel geometric optimization-based solver. DIDC combines the required generalized forces corresponding to the actuated and unactuated spaces by projecting them onto the actuated space while satisfying the physical constraints and maintaining orthogonality between the base and joint tracking objectives. Experimental validation shows that our approach reduces foot slippage, improves orientation tracking, and converges at least two times faster than existing reactive controllers with generic QP-based implementations. The controller enables stable omnidirectional trotting at various speeds and consumes less power than comparable methods while running efficiently on embedded processors.
