Abstract:Science demonstrations are important for effective STEM education, yet teachers face challenges in conducting them safely and consistently across multiple occasions, where robotics can be helpful. However, current Vision-Language-Action (VLA) models require substantial computational resources and sacrifice language generation capabilities to maximize efficiency, making them unsuitable for resource-constrained educational settings that require interpretable, explanation-generating systems. We present \textit{Pedagogical VLA Framework}, a framework that applies pedagogical alignment to lightweight VLA models through four components: text healing to restore language generation capabilities, large language model (LLM) distillation to transfer pedagogical knowledge, safety training for educational environments, and pedagogical evaluation adjusted to science education contexts. We evaluate Pedagogical VLA Framework across five science demonstrations spanning physics, chemistry, biology, and earth science, using an evaluation framework developed in collaboration with science education experts. Our evaluation assesses both task performance (success rate, protocol compliance, efficiency, safety) and pedagogical quality through teacher surveys and LLM-as-Judge assessment. We additionally provide qualitative analysis of generated texts. Experimental results demonstrate that Pedagogical VLA Framework achieves comparable task performance to baseline models while producing contextually appropriate educational explanations.
Abstract:We propose a descriptor-agnostic, multi-frame loop closure verification method that formulates LiDAR loop closure as a truncated Sequential Probability Ratio Test (SPRT). Instead of deciding from a single descriptor comparison or using fixed thresholds with late-stage Iterative Closest Point (ICP) vetting, the verifier accumulates a short temporal stream of descriptor similarities between a query and each candidate. It then issues an accept/reject decision adaptively once sufficient multi-frame evidence has been observed, according to user-specified Type-I/II error design targets. This precision-first policy is designed to suppress false positives in structurally repetitive indoor environments. We evaluate the verifier on a five-sequence library dataset, using a fixed retrieval front-end with several representative LiDAR global descriptors. Performance is assessed via segment-level K-hit precision-recall and absolute trajectory error (ATE) and relative pose error (RPE) after pose graph optimization. Across descriptors, the sequential verifier consistently improves precision and reduces the impact of aliased loops compared with single-frame and heuristic multi-frame baselines. Our implementation and dataset will be released at: https://github.com/wanderingcar/snu_library_dataset.




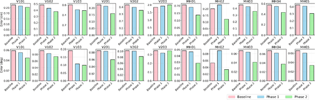
Abstract:A fundamental challenge in robust visual-inertial odometry (VIO) is to dynamically assess the reliability of sensor measurements. This assessment is crucial for properly weighting the contribution of each measurement to the state estimate. Conventional methods often simplify this by assuming a static, uniform uncertainty for all measurements. This heuristic, however, may be limited in its ability to capture the dynamic error characteristics inherent in real-world data. To improve this limitation, we present a statistical framework that learns measurement reliability assessment online, directly from sensor data and optimization results. Our approach leverages multi-view geometric consistency as a form of self-supervision. This enables the system to infer landmark uncertainty and adaptively weight visual measurements during optimization. We evaluated our method on the public EuRoC dataset, demonstrating improvements in tracking accuracy with average reductions of approximately 24\% in translation error and 42\% in rotation error compared to baseline methods with fixed uncertainty parameters. The resulting framework operates in real time while showing enhanced accuracy and robustness. To facilitate reproducibility and encourage further research, the source code will be made publicly available.
Abstract:State-of-the-art (SOTA) video denoising methods employ multi-frame simultaneous denoising mechanisms, resulting in significant delays (e.g., 16 frames), making them impractical for real-time cameras. To overcome this limitation, we propose a multi-fusion gated recurrent Transformer network (GRTN) that achieves SOTA denoising performance with only a single-frame delay. Specifically, the spatial denoising module extracts features from the current frame, while the reset gate selects relevant information from the previous frame and fuses it with current frame features via the temporal denoising module. The update gate then further blends this result with the previous frame features, and the reconstruction module integrates it with the current frame. To robustly compute attention for noisy features, we propose a residual simplified Swin Transformer with Euclidean distance (RSSTE) in the spatial and temporal denoising modules. Comparative objective and subjective results show that our GRTN achieves denoising performance comparable to SOTA multi-frame delay networks, with only a single-frame delay.




Abstract:We propose a novel approach to Graduated Non-Convexity (GNC) and demonstrate its efficacy through its application in robust pose graph optimization, a key component in SLAM backends. Traditional GNC methods often rely on heuristic methods for GNC schedule, updating control parameter {\mu} for escalating the non-convexity. In contrast, our approach leverages the properties of convex functions and convex optimization to identify the boundary points beyond which convexity is no longer guaranteed, thereby eliminating redundant optimization steps in existing methodologies and enhancing both speed and robustness. We show that our method outperforms the state-of-the-art method in terms of speed and accuracy when used for robust back-end pose graph optimization via GNC. Our work builds upon and enhances the open-source riSAM framework. Our implementation can be accessed from: https://github.com/SNU-DLLAB/EGNC-PGO
Abstract:We present a novel approach to robust pose graph optimization based on Graduated Non-Convexity (GNC). Unlike traditional GNC-based methods, the proposed approach employs an adaptive shape function using B-spline to optimize the shape of the robust kernel. This aims to reduce GNC iterations, boosting computational speed without compromising accuracy. When integrated with the open-source riSAM algorithm, the method demonstrates enhanced efficiency across diverse datasets. Accompanying open-source code aims to encourage further research in this area. https://github.com/SNU-DLLAB/AGNC-PGO




Abstract:Current video denoising methods perform temporal fusion by designing convolutional neural networks (CNN) or combine spatial denoising with temporal fusion into basic recurrent neural networks (RNNs). However, there have not yet been works which adapt gated recurrent unit (GRU) mechanisms for video denoising. In this letter, we propose a new video denoising model based on GRU, namely GRU-VD. First, the reset gate is employed to mark the content related to the current frame in the previous frame output. Then the hidden activation works as an initial spatial-temporal denoising with the help from the marked relevant content. Finally, the update gate recursively fuses the initial denoised result with previous frame output to further increase accuracy. To handle various light conditions adaptively, the noise standard deviation of the current frame is also fed to these three modules. A weighted loss is adopted to regulate initial denoising and final fusion at the same time. The experimental results show that the GRU-VD network not only can achieve better quality than state of the arts objectively and subjectively, but also can obtain satisfied subjective quality on real video.