



Abstract:The application of machine learning in wireless communications has been extensively explored, with deep unfolding emerging as a powerful model-based technique. Deep unfolding enhances interpretability by transforming complex iterative algorithms into structured layers of deep neural networks (DNNs). This approach seamlessly integrates domain knowledge with deep learning (DL), leveraging the strengths of both methods to simplify complex signal processing tasks in communication systems. To provide a solid foundation, we first present a brief overview of DL and deep unfolding. We then explore the applications of deep unfolding in key areas, including signal detection, channel estimation, beamforming design, decoding for error-correcting codes, sensing and communication, power allocation, and security. Each section focuses on a specific task, highlighting its significance in emerging 6G technologies and reviewing recent advancements in deep unfolding-based solutions. Finally, we discuss the challenges associated with developing deep unfolding techniques and propose potential improvements to enhance their applicability across diverse wireless communication scenarios.




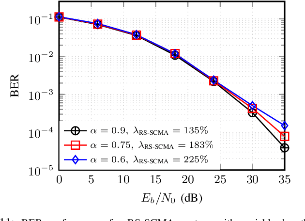
Abstract:This paper presents a novel rate-splitting sparse code multiple access (RS-SCMA) framework, where common messages are transmitted using quadrature phase-shift keying (QPSK) modulation, while private messages are sent using SCMA encoding. A key feature of RS-SCMA is its ability to achieve a tunable overloading factor by adjusting the splitting factor. This flexibility enables an optimal trade-off, ensuring the system maintains superior performance across varying levels of overloading factor. We present a detailed transceiver design and analyze the influence of rate-splitting on the overloading factor. Extensive simulation results, both with and without low-density parity-check (LDPC) codes, highlight RS-SCMA's potential as a strong candidate for next-generation multiple access technologies.
Abstract:Intelligent reflecting surface (IRS) technology has become a crucial enabler for creating cost effective, innovative, and adaptable wireless communication environments. This study investigates an IRS-assisted orthogonal time frequency space (OTFS) modulation that facilitates communication between users and the base station (BS). The users attainable downlink rate can be boosted by collaboratively improving the reflection coefficient (RC) matrix at the IRS and beamforming matrix at the BS. Then, in the IRS-aided OTFS network, the problem of cooperative precoding at BS and IRS to improve the network throughput is framed. The precoding design problem is non-convex and highly complicated; an alternate optimization (AO) approach is proposed to solve this. Specifically, an approach based on strongest tap maximization (STM) and fractional programming is proposed. It solves RC matrix (at IRS) and beamforming matrix (at BS) alternatively. Moreover, an efficient signal detector for IRS-aided OTFS communication systems using the alternating direction method of multipliers (ADMM) is proposed. Finally, to estimate the cascaded MIMO channel, using a parallel factor tensor model that separates the IRS-User and BS-IRS MIMO channels, respectively is suggested. Simulation results show that the proposed method significantly enhances the system capacity and bit error rate (BER) performance compared to conventional OTFS.
Abstract:Next-generation wireless networks require higher spectral efficiency and lower latency to meet the demands of various upcoming applications. Recently, non-orthogonal multiple access (NOMA) schemes are introduced in the literature for 5G and beyond. Various forms of NOMA are considered like power domain, code domain, pattern division multiple access, etc. to enhance the spectral efficiency of wireless networks. In this chapter, we introduce the code domain-based sparse code multiple access (SCMA) NOMA scheme to enhance the spectral efficiency of a wireless network. The design and detection of an SCMA system are analyzed in this chapter. Also, the method for codebooks design and its impact on system performance are highlighted. A hybrid multiple access scheme is also introduced using both code-domain and power-domain NOMA. Furthermore, simulation results are included to show the impact of various SCMA system parameters.ext-generation wireless networks require higher spectral efficiency and lower latency to meet the demands of various upcoming applications. Recently, non-orthogonal multiple access (NOMA) schemes are introduced in the literature for 5G and beyond. Various forms of NOMA are considered like power domain, code domain, pattern division multiple access, etc. to enhance the spectral efficiency of wireless networks. In this chapter, we introduce the code domainbased sparse code multiple access (SCMA) NOMA scheme to enhance the spectral efficiency of a wireless network. The design and detection of an SCMA system are analyzed in this chapter. Also, the method for codebooks design and its impact on system performance are highlighted. A hybrid multiple access scheme is also introduced using both code-domain and power-domain NOMA. Furthermore, simulation results are included to show the impact of various SCMA system parameters.
Abstract:This paper presents a convex-QCQP based novel path planning algorithm named ellipsoidal constrained agent navigation (ECAN), for a challenging problem of online path planning in completely unknown and unseen continuous environments. ECAN plans path for the agent by making a tunnel of overlapping ellipsoids, in an online fashion, through the environment. Convex constraints in the ellipsoid-formation step circumvent collision with the obstacles. The problem of online-tunneling is solved as a convex-QCQP. This paper assumes no constraints on shape of the agent and the obstacles. However, to make the approach clearer, this paper first introduces the framework for a point-mass agent with point-size obstacles. After explaining the underlying principle in drawing an ellipsoid tunnel, the framework is extended to the agent and obstacles having finite area (2d space) and finite-volume (3d-space).




Abstract:Orthogonal time frequency space (OTFS) has emerged as the most sought-after modulation technique in a high mobility scenario. Sparse code multiple access (SCMA) is an attractive code-domain non-orthogonal multiple access (NOMA) technique. Recently a code-domain NOMA approach for OTFS, named OTFS-SCMA, is proposed. OTFS-SCMA is a promising framework that meets the demands of high mobility and massive connectivity. This paper presents a channel estimation technique based on the convolutional sparse coding (CSC) approach for OTFS-SCMA in the uplink. The channel estimation task is formulated as a CSC problem following a careful rearrangement of the OTFS input-output relation. We use an embedded pilot-aided sparse-pilot structure that enjoys the features of both OTFS and SCMA. The existing channel estimation techniques for OTFS in multi-user scenarios for uplink demand extremely high overhead for pilot and guard symbols, proportional to the number of users. The proposed method maintains a minimal overhead equivalent to a single user without compromising on the estimation error. The results show that the proposed channel estimation algorithm is very efficient in bit error rate (BER), normalized mean square error (NMSE), and spectral efficiency (SE).




Abstract:This work addresses the challenging problem of unconstrained 3D hand pose estimation using monocular RGB images. Most of the existing approaches assume some prior knowledge of hand (such as hand locations and side information) is available for 3D hand pose estimation. This restricts their use in unconstrained environments. We, therefore, present an end-to-end framework that robustly predicts hand prior information and accurately infers 3D hand pose by learning ConvNet models while only using keypoint annotations. To achieve robustness, the proposed framework uses a novel keypoint-based method to simultaneously predict hand regions and side labels, unlike existing methods that suffer from background color confusion caused by using segmentation or detection-based technology. Moreover, inspired by the biological structure of the human hand, we introduce two geometric constraints directly into the 3D coordinates prediction that further improves its performance in a weakly-supervised training. Experimental results show that our proposed framework not only performs robustly on unconstrained setting, but also outperforms the state-of-art methods on standard benchmark datasets.




Abstract:On-line motion planning in unknown environments is a challenging problem as it requires (i) ensuring collision avoidance and (ii) minimizing the motion time, while continuously predicting where to go next. Previous approaches to on-line motion planning assume that a rough map of the environment is available, thereby simplifying the problem. This paper presents a reactive on-line motion planner, Robust Autonomous Waypoint generation (RAW), for mobile robots navigating in unknown and unstructured environments. RAW generates a locally maximal ellipsoid around the robot, using semi-definite programming, such that the surrounding obstacles lie outside the ellipsoid. A reinforcement learning agent then generates a local waypoint in the robot's field of view, inside the ellipsoid. The robot navigates to the waypoint and the process iterates until it reaches the goal. By following the waypoints the robot navigates through a sequence of overlapping ellipsoids, and avoids collision. Robot's safety is guaranteed theoretically and the claims are validated through rigorous numerical experiments in four different experimental setups. Near-optimality is shown empirically by comparing RAW trajectories with the global optimal trajectories.



Abstract:Histogram Equalization is a contrast enhancement technique in the image processing which uses the histogram of image. However histogram equalization is not the best method for contrast enhancement because the mean brightness of the output image is significantly different from the input image. There are several extensions of histogram equalization has been proposed to overcome the brightness preservation challenge. Contrast enhancement using brightness preserving bi-histogram equalization (BBHE) and Dualistic sub image histogram equalization (DSIHE) which divides the image histogram into two parts based on the input mean and median respectively then equalizes each sub histogram independently. This paper provides review of different popular histogram equalization techniques and experimental study based on the absolute mean brightness error (AMBE), peak signal to noise ratio (PSNR), Structure similarity index (SSI) and Entropy.