



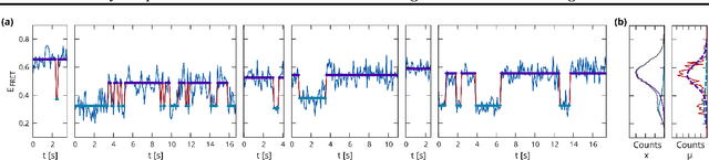
Abstract:We address the problem of analyzing sets of noisy time-varying signals that all report on the same process but confound straightforward analyses due to complex inter-signal heterogeneities and measurement artifacts. In particular we consider single-molecule experiments which indirectly measure the distinct steps in a biomolecular process via observations of noisy time-dependent signals such as a fluorescence intensity or bead position. Straightforward hidden Markov model (HMM) analyses attempt to characterize such processes in terms of a set of conformational states, the transitions that can occur between these states, and the associated rates at which those transitions occur; but require ad-hoc post-processing steps to combine multiple signals. Here we develop a hierarchically coupled HMM that allows experimentalists to deal with inter-signal variability in a principled and automatic way. Our approach is a generalized expectation maximization hyperparameter point estimation procedure with variational Bayes at the level of individual time series that learns an single interpretable representation of the overall data generating process.