



Abstract:Computed tomography (CT) reconstruction plays a crucial role in industrial nondestructive testing and medical diagnosis. Sparse view CT reconstruction aims to reconstruct high-quality CT images while only using a small number of projections, which helps to improve the detection speed of industrial assembly lines and is also meaningful for reducing radiation in medical scenarios. Sparse CT reconstruction methods based on implicit neural representations (INRs) have recently shown promising performance, but still produce artifacts because of the difficulty of obtaining useful prior information. In this work, we incorporate a powerful prior: the total number of material categories of objects. To utilize the prior, we design AC-IND, a self-supervised method based on Attenuation Coefficient Estimation and Implicit Neural Distribution. Specifically, our method first transforms the traditional INR from scalar mapping to probability distribution mapping. Then we design a compact attenuation coefficient estimator initialized with values from a rough reconstruction and fast segmentation. Finally, our algorithm finishes the CT reconstruction by jointly optimizing the estimator and the generated distribution. Through experiments, we find that our method not only outperforms the comparative methods in sparse CT reconstruction but also can automatically generate semantic segmentation maps.




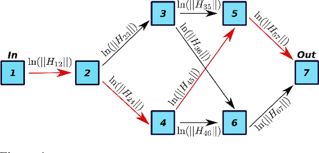
Abstract:Convolutional neural networks (CNNs) have proven to be highly successful at a range of image-to-image tasks. CNNs can be computationally expensive, which can limit their applicability in practice. Model pruning can improve computational efficiency by sparsifying trained networks. Common methods for pruning CNNs determine what convolutional filters to remove by ranking filters on an individual basis. However, filters are not independent, as CNNs consist of chains of convolutions, which can result in sub-optimal filter selection. We propose a novel pruning method, LongEst-chAiN (LEAN) pruning, which takes the interdependency between the convolution operations into account. We propose to prune CNNs by using graph-based algorithms to select relevant chains of convolutions. A CNN is interpreted as a graph, with the operator norm of each convolution as distance metric for the edges. LEAN pruning iteratively extracts the highest value path from the graph to keep. In our experiments, we test LEAN pruning for several image-to-image tasks, including the well-known CamVid dataset. LEAN pruning enables us to keep just 0.5%-2% of the convolutions without significant loss of accuracy. When pruning CNNs with LEAN, we achieve a higher accuracy than pruning filters individually, and different pruned substructures emerge.