Abstract:In the user-centric cell-free massive MIMO (UC-mMIMO) network scheme, user mobility necessitates updating the set of serving access points to maintain the user-centric clustering. Such updates are typically performed through handoff (HO) operations; however, frequent HOs lead to overheads associated with the allocation and release of resources. This paper presents a deep reinforcement learning (DRL)-based solution to predict and manage these connections for mobile users. Our solution employs the Soft Actor-Critic algorithm, with continuous action space representation, to train a deep neural network to serve as the HO policy. We present a novel proposition for a reward function that integrates a HO penalty in order to balance the attainable rate and the associated overhead related to HOs. We develop two variants of our system; the first one uses mobility direction-assisted (DA) observations that are based on the user movement pattern, while the second one uses history-assisted (HA) observations that are based on the history of the large-scale fading (LSF). Simulation results show that our DRL-based continuous action space approach is more scalable than discrete space counterpart, and that our derived HO policy automatically learns to gather HOs in specific time slots to minimize the overhead of initiating HOs. Our solution can also operate in real time with a response time less than 0.4 ms.
Abstract:We study the problem of uplink compression for cell-free multi-input multi-output networks with limited fronthaul capacity. In compress-forward mode, remote radio heads (RRHs) compress the received signal and forward it to a central unit for joint processing. While previous work has focused on a transform-based approach, which optimizes the transform matrix that reduces signals of high dimension to a static pre-determined lower dimension, we propose a rate-based approach that simultaneously finds both dimension and compression adaptively. Our approach accommodates for changes to network traffic and fronthaul limits. Using mutual information as the objective, we obtain the theoretical network capacity for adaptive compression and decouple the expression to enable decentralization. Furthermore, using channel statistics and user traffic density, we show different approaches to compute an efficient representation of side information that summarizes global channel state information and is shared with RRHs to assist compression. While keeping the information exchange overhead low, our decentralized implementation of adaptive compression shows competitive overall network performance compared to a centralized approach.
Abstract:The user-centric, cell-free wireless network is a promising next-generation communication system, but signal synchronization issues arise due to distributed access points and lack of cellular structure. We propose a novel method to recover synchronous pilot reception by introducing new pilot sequences and a matched filter window, enabling orthogonality even with asynchronous reception. Our approach mimics synchronous transmission by extending training sequences. Analysis shows asynchronous reception's impact on channel estimation, and our method significantly improves performance with a small increase of training time overhead. Results demonstrate a 7.26 dB reduction in normalized mean square error and 40% increase in data rate, achieving performance levels comparable to the synchronous case.
Abstract:Ambitions for the next generation of wireless communication include high data rates, low latency, ubiquitous access, ensuring sustainability (in terms of consumption of energy and natural resources), all while maintaining a reasonable level of implementation complexity. Achieving these goals necessitates reforms in cellular networks, specifically in the physical layer and antenna design. The deployment of transmissive metasurfaces at basestations (BSs) presents an appealing solution, enabling beamforming in the radiated wave domain, minimizing the need for energy-hungry RF chains. Among various metasurface-based antenna designs, we propose using Huygens' metasurface-based antennas (HMAs) at BSs. Huygens' metasurfaces offer an attractive solution for antennas because, by utilizing Huygens' equivalence principle, they allow independent control over both the amplitude and phase of the transmitted electromagnetic wave. In this paper, we investigate the fundamental limits of HMAs in wireless networks by integrating electromagnetic theory and information theory within a unified analytical framework. Specifically, we model the unique electromagnetic characteristics of HMAs and incorporate them into an information-theoretic optimization framework to determine their maximum achievable sum rate. By formulating an optimization problem that captures the impact of HMA's hardware constraints and electromagnetic properties, we quantify the channel capacity of HMA-assisted systems. We then compare the performance of HMAs against phased arrays and other metasurface-based antennas in both rich scattering and realistic 3GPP channels, highlighting their potential in improving spectral and energy efficiency.




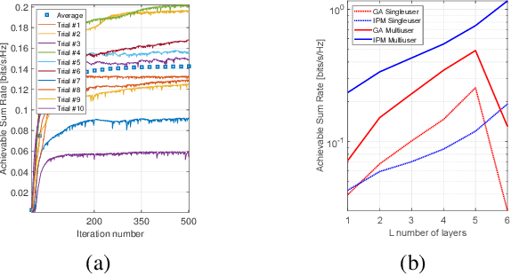
Abstract:Using refractive metasurfaces (RMTSs) as part of the antenna design offers a promising solution to the ever-increasing demand for improved energy efficiency of wireless communications. To overcome the limitations of using one RMTS layer, a recent proposal is to cascade multiple layers, a structure called stacked intelligent metasurfaces (SIMs) where the desired precoder and combiner is formed in the wave domain. However, while proposing the antenna structure, the analysis did not account for the attendant limitations imposed by the hardware used which has a significant impact on the performance of SIMs. In this paper, we study the achievable sum-rate of a SIM antenna in an uplink wireless communication scenario accounting for hardware limitations. We begin by proposing a system model that captures both the effect of noise and hardware limitations in these systems. We then formulate the achievable sum-rate problem; since optimizing the rate is non-convex, we propose two approaches: a gradient ascent algorithm and an interior point method to find a close-to-optimum combiner. To show the efficiency of using SIMs at a basestation, we compare the achievable sum-rate with that of a digital phased array (DPA). We provide two comparisons: first, in Rayleigh fading and realistic 3GPP channels and then under a constraint of an equal number of radio frequency (RF) chains and equal physical aperture size constraint. Our results show that SIM antennas can surpass DPA performance under an equal number of RF chains but has inferior performance under equal aperture size.




Abstract:Dynamic Metasurface Antennas (DMAs) have emerged as promising candidates for basestation deployment in the next generation of wireless communications. While overlooking the practical and hardware limitations of DMA, previous studies have highlighted DMAs' potential to deliver high data rates while maintaining low power consumption. In this paper, we address this oversight by analyzing the impact of practical hardware limitations such as antenna efficiency, power consumed in required components, processing limitations, etc. Specifically, we investigate DMA-assisted wireless communications in the uplink and propose a model which accounts for these hardware limitations. To do so, we propose a concise model to characterize the power consumption of a DMA. For a fair assessment, we propose a wave-domain combiner, based on holography theory, to maximize the achievable sum rate of DMA-assisted antennas. We compare the achievable sum rate and energy efficiency of DMA antennas with that of a partially connected hybrid phased array. Our findings reveal the true potential of DMAs when accounting for the limitations of both designs.




Abstract:We examine the problem of optimizing resource allocation in the uplink for a user-centric, cell-free, multi-input multi-output network. We start by modeling and developing resource allocation algorithms for two standard network operation modes. The centralized mode provides high data rates but suffers multiple issues, including scalability. On the other hand, the distributed mode has the opposite problem: relatively low rates, but is scalable. To address these challenges, we combine the strength of the two standard modes, creating a new semi-distributed operation mode. To avoid the need for information exchange between access points, we introduce a new quality of service metric to decentralize the resource allocation algorithms. Our results show that we can eliminate the need for information exchange with a relatively small penalty on data rates.




Abstract:We study the problem of managing handoffs (HOs) in user-centric cell-free massive MIMO (UC-mMIMO) networks. Motivated by the importance of controlling the number of HOs and by the correlation between efficient HO decisions and the temporal evolution of the channel conditions, we formulate a partially observable Markov decision process (POMDP) with the state space representing the discrete versions of the large-scale fading and the action space representing the association decisions of the user with the access points (APs). We develop a novel algorithm that employs this model to derive a HO policy for a mobile user based on current and future rewards. To alleviate the high complexity of our POMDP, we follow a divide-and-conquer approach by breaking down the POMDP formulation into sub-problems, each solved separately. Then, the policy and the candidate pool of APs for the sub-problem that produced the best total expected reward are used to perform HOs within a specific time horizon. We then introduce modifications to our algorithm to decrease the number of HOs. The results show that half of the number of HOs in the UC-mMIMO networks can be eliminated. Namely, our novel solution can control the number of HOs while maintaining a rate guarantee, where a 47%-70% reduction of the cumulative number of HOs is observed in networks with a density of 125 APs per km2. Most importantly, our results show that a POMDP-based HO scheme is promising to control HOs.




Abstract:Folding of proteins into their correct native structure is key to their function. Simultaneously, the intricate interplay between cell movement and protein conformation highlights the complex nature of cellular processes. In this work, we demonstrate the impact of Terahertz (THz) signaling on controlling protein conformational changes in a random medium. Our system of interest consists of a communication link that involves a nanoantenna transmitter, a protein receiver, and a channel composed of moving red blood cells. Due to the system dynamics, we investigate the influence of both the fast and slow channel variations on protein folding. Specifically, we analyze the system's selectivity to asses the effectiveness of the induced THz interaction in targeting a specific group of proteins under fading conditions. By optimizing the selectivity metric with respect to the nanoantenna power and frequency, it is possible to enhance the controllability of protein interactions. Our probabilistic analysis provides a new perspective regarding electromagnetically triggered protein molecules, their microenvironment and their interaction with surrounding particles. It helps elucidate how external conditions impact the protein folding kinetics and pathways. This results in not only understanding the mechanisms underlying THz-induced protein interactions but also engineering these still-emerging tools.




Abstract:We propose to control handoffs (HOs) in user-centric cell-free massive MIMO networks through a partially observable Markov decision process (POMDP) with the state space representing the discrete versions of the large-scale fading (LSF) and the action space representing the association decisions of the user with the access points. Our proposed formulation accounts for the temporal evolution and the partial observability of the channel states. This allows us to consider future rewards when performing HO decisions, and hence obtain a robust HO policy. To alleviate the high complexity of solving our POMDP, we follow a divide-and-conquer approach by breaking down the POMDP formulation into sub-problems, each solved individually. Then, the policy and the candidate cluster of access points for the best solved sub-problem is used to perform HOs within a specific time horizon. We control the number of HOs by determining when to use the HO policy. Our simulation results show that our proposed solution reduces HOs by 47% compared to time-triggered LSF-based HOs and by 70% compared to data rate threshold-triggered LSF-based HOs. This amount can be further reduced through increasing the time horizon of the POMDP.