



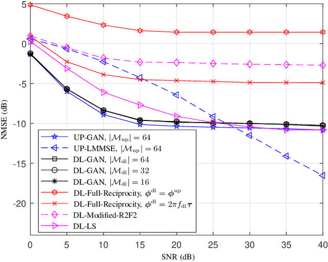
It is well accepted that acquiring downlink channel state information in frequency division duplexing (FDD) massive multiple-input multiple-output (MIMO) systems is challenging because of the large overhead in training and feedback. In this paper, we propose a deep generative model (DGM)-based technique to address this challenge. Exploiting the partial reciprocity of uplink and downlink channels, we first estimate the frequency-independent underlying channel parameters, i.e., the magnitudes of path gains, delays, angles-of-arrivals (AoAs) and angles-of-departures (AoDs), via uplink training, since these parameters are common in both uplink and downlink. Then, the frequency-specific underlying channel parameters, namely, the phase of each propagation path, are estimated via downlink training using a very short training signal. In the first step, we incorporate the underlying distribution of the channel parameters as a prior into our channel estimation algorithm. We use DGMs to learn this distribution. Simulation results indicate that our proposed DGM-based channel estimation technique outperforms, by a large gap, the conventional channel estimation techniques in practical ranges of signal-to-noise ratio (SNR). In addition, a near-optimal performance is achieved using only few downlink pilot measurements.