



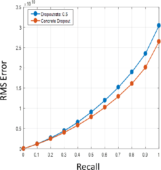
Abstract:As a powerful technique in medical imaging, image synthesis is widely used in applications such as denoising, super resolution and modality transformation etc. Recently, the revival of deep neural networks made immense progress in the field of medical imaging. Although many deep leaning based models have been proposed to improve the image synthesis accuracy, the evaluation of the model uncertainty, which is highly important for medical applications, has been a missing part. In this work, we propose to use Bayesian conditional generative adversarial network (GAN) with concrete dropout to improve image synthesis accuracy. Meanwhile, an uncertainty calibration approach is involved in the whole pipeline to make the uncertainty generated by Bayesian network interpretable. The method is validated with the T1w to T2w MR image translation with a brain tumor dataset of 102 subjects. Compared with the conventional Bayesian neural network with Monte Carlo dropout, results of the proposed method reach a significant lower RMSE with a p-value of 0.0186. Improvement of the calibration of the generated uncertainty by the uncertainty recalibration method is also illustrated.




Abstract:Brain extraction or skull stripping of magnetic resonance images (MRI) is an essential step in neuroimaging studies, the accuracy of which can severely affect subsequent image processing procedures. Current automatic brain extraction methods demonstrate good results on human brains, but are often far from satisfactory on nonhuman primates, which are a necessary part of neuroscience research. To overcome the challenges of brain extraction in nonhuman primates, we propose a fully-automated brain extraction pipeline combining deep Bayesian convolutional neural network (CNN) and fully connected three-dimensional (3D) conditional random field (CRF). The deep Bayesian CNN, Bayesian SegNet, is used as the core segmentation engine. As a probabilistic network, it is not only able to perform accurate high-resolution pixel-wise brain segmentation, but also capable of measuring the model uncertainty by Monte Carlo sampling with dropout in the testing stage. Then, fully connected 3D CRF is used to refine the probability result from Bayesian SegNet in the whole 3D context of the brain volume. The proposed method was evaluated with a manually brain-extracted dataset comprising T1w images of 100 nonhuman primates. Our method outperforms six popular publicly available brain extraction packages and three well-established deep learning based methods with a mean Dice coefficient of 0.985 and a mean average symmetric surface distance of 0.220 mm. A better performance against all the compared methods was verified by statistical tests (all p-values<10-4, two-sided, Bonferroni corrected). The maximum uncertainty of the model on nonhuman primate brain extraction has a mean value of 0.116 across all the 100 subjects...




Abstract:Brain gender differences have been known for a long time and are the possible reason for many psychological, psychiatric and behavioral differences between males and females. Predicting genders from brain functional connectivity (FC) can build the relationship between brain activities and gender, and extracting important gender related FC features from the prediction model offers a way to investigate the brain gender difference. Current predictive models applied to gender prediction demonstrate good accuracies, but usually extract individual functional connections instead of connectivity patterns in the whole connectivity matrix as features. In addition, current models often omit the effect of the input brain FC scale on prediction and cannot give any model uncertainty information. Hence, in this study we propose to predict gender from multiple scales of brain FC with deep learning, which can extract full FC patterns as features. We further develop the understanding of the feature extraction mechanism in deep neural network (DNN) and propose a DNN feature ranking method to extract the highly important features based on their contributions to the prediction. Moreover, we apply Bayesian deep learning to the brain FC gender prediction, which as a probabilistic model can not only make accurate predictions but also generate model uncertainty for each prediction. Experiments were done on the high-quality Human Connectome Project S1200 release dataset comprising the resting state functional MRI data of 1003 healthy adults. First, DNN reaches 83.0%, 87.6%, 92.0%, 93.5% and 94.1% accuracies respectively with the FC input derived from 25, 50, 100, 200, 300 independent component analysis (ICA) components. DNN outperforms the conventional machine learning methods on the 25-ICA-component scale FC, but the linear machine learning method catches up as the number of ICA components increases...