Abstract:Graph Transformers typically rely on explicit positional or structural encodings and dense global attention to incorporate graph topology. In this work, we show that neither is essential. We introduce HopFormer, a graph Transformer that injects structure exclusively through head-specific n-hop masked sparse attention, without the use of positional encodings or architectural modifications. This design provides explicit and interpretable control over receptive fields while enabling genuinely sparse attention whose computational cost scales linearly with mask sparsity. Through extensive experiments on both node-level and graph-level benchmarks, we demonstrate that our approach achieves competitive or superior performance across diverse graph structures. Our results further reveal that dense global attention is often unnecessary: on graphs with strong small-world properties, localized attention yields more stable and consistently high performance, while on graphs with weaker small-world effects, global attention offers diminishing returns. Together, these findings challenge prevailing assumptions in graph Transformer design and highlight sparsity-controlled attention as a principled and efficient alternative.
Abstract:Reasoning graphs from Large Language Models (LLMs) are often misaligned with downstream visual tasks such as video anomaly detection (VAD). Existing Graph Structure Refinement (GSR) methods are ill-suited for these novel, dataset-less graphs. We introduce Data-driven GSR (D-GSR), a new paradigm that directly optimizes graph structure using downstream task data, and propose MissionHD, a hyperdimensional computing (HDC) framework to operationalize it. MissionHD uses an efficient encode-decode process to refine the graph, guided by the downstream task signal. Experiments on challenging VAD and VAR benchmarks show significant performance improvements when using our refined graphs, validating our approach as an effective pre-processing step.




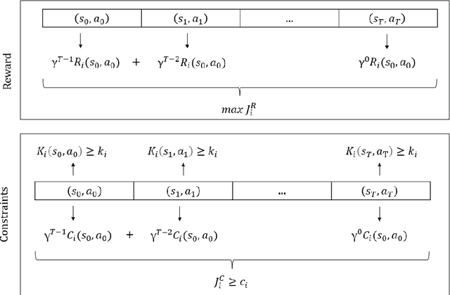
Abstract:The field of safe multi-agent reinforcement learning, despite its potential applications in various domains such as drone delivery and vehicle automation, remains relatively unexplored. Training agents to learn optimal policies that maximize rewards while considering specific constraints can be challenging, particularly in scenarios where having a central controller to coordinate the agents during the training process is not feasible. In this paper, we address the problem of multi-agent policy optimization in a decentralized setting, where agents communicate with their neighbors to maximize the sum of their cumulative rewards while also satisfying each agent's safety constraints. We consider both peak and average constraints. In this scenario, there is no central controller coordinating the agents and both the rewards and constraints are only known to each agent locally/privately. We formulate the problem as a decentralized constrained multi-agent Markov Decision Problem and propose a momentum-based decentralized policy gradient method, DePAint, to solve it. To the best of our knowledge, this is the first privacy-preserving fully decentralized multi-agent reinforcement learning algorithm that considers both peak and average constraints. We also provide theoretical analysis and empirical evaluation of our algorithm in various scenarios and compare its performance to centralized algorithms that consider similar constraints.