



Abstract:Simultaneously reflecting and transmitting reconfigurable intelligent surfaces (STAR-RIS) has recently emerged as prominent technology that exploits the transmissive property of RIS to mitigate the half-space coverage limitation of conventional RIS operating on millimeter-wave (mmWave). In this paper, we study a downlink STAR-RIS-based multi-user multiple-input single-output (MU-MISO) mmWave hybrid non-orthogonal multiple access (H-NOMA) wireless network, where a sum-rate maximization problem has been formulated. The design of active and passive beamforming vectors, time and power allocation for H-NOMA is a highly coupled non-convex problem. To handle the problem, we propose an optimization framework based on alternating optimization (AO) that iteratively solves active and passive beamforming sub-problems. Channel correlations and channel strength-based techniques have been proposed for a specific case of two-user optimal clustering and decoding order assignment, respectively, for which analytical solutions to joint power and time allocation for H-NOMA have also been derived. Simulation results show that: 1) the proposed framework leveraging H-NOMA outperforms conventional OMA and NOMA to maximize the achievable sum-rate; 2) using the proposed framework, the supported number of clusters for the given design constraints can be increased considerably; 3) through STAR-RIS, the number of elements can be significantly reduced as compared to conventional RIS to ensure a similar quality-of-service (QoS).




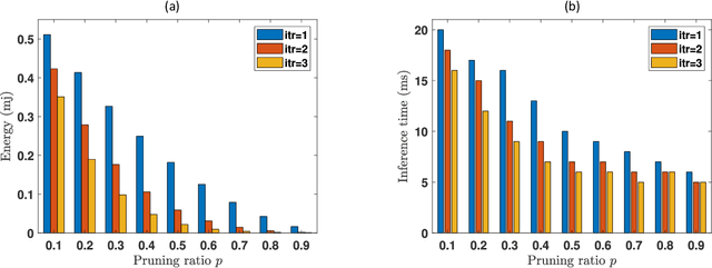
Abstract:6G envisions artificial intelligence (AI) powered solutions for enhancing the quality-of-service (QoS) in the network and to ensure optimal utilization of resources. In this work, we propose an architecture based on the combination of unmanned aerial vehicles (UAVs), AI and blockchain for agricultural supply-chain management with the purpose of ensuring traceability, transparency, tracking inventories and contracts. We propose a solution to facilitate on-device AI by generating a roadmap of models with various resource-accuracy trade-offs. A fully convolutional neural network (FCN) model is used for biomass estimation through images captured by the UAV. Instead of a single compressed FCN model for deployment on UAV, we motivate the idea of iterative pruning to provide multiple task-specific models with various complexities and accuracy. To alleviate the impact of flight failure in a 6G enabled dynamic UAV network, the proposed model selection strategy will assist UAVs to update the model based on the runtime resource requirements.