



Abstract:In recent years, Solving partial differential equations has shifted the focus of traditional neural network studies from finite-dimensional Euclidean spaces to generalized functional spaces in research. A novel methodology is to learn an operator as a means of approximating the mapping between outputs. Currently, researchers have proposed a variety of operator architectures. Nevertheless, the majority of these architectures adopt an iterative update architecture, whereby a single operator is learned from the same function space. In practical physical science problems, the numerical solutions of partial differential equations are complex, and a serial single operator is unable to accurately approximate the intricate mapping between input and output. So, We propose a deep parallel operator model (DPNO) for efficiently and accurately solving partial differential equations. DPNO employs convolutional neural networks to extract local features and map data into distinct latent spaces. Designing a parallel block of double Fourier neural operators to solve the iterative error problem. DPNO approximates complex mappings between inputs and outputs by learning multiple operators in different potential spaces in parallel blocks. DPNO achieved the best performance on five of them, with an average improvement of 10.5\%, and ranked second on one dataset.




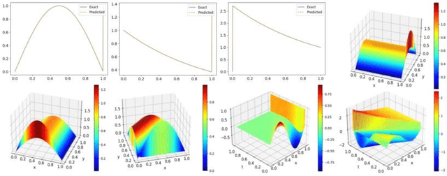
Abstract:Physics-Informed Neural Networks (PINNs) have become a promising research direction in the field of solving Partial Differential Equations (PDEs). Dealing with singular perturbation problems continues to be a difficult challenge in the field of PINN. The solution of singular perturbation problems often exhibits sharp boundary layers and steep gradients, and traditional PINN cannot achieve approximation of boundary layers. In this manuscript, we propose the General-Kindred Physics-Informed Neural Network (GKPINN) for solving Singular Perturbation Differential Equations (SPDEs). This approach utilizes asymptotic analysis to acquire prior knowledge of the boundary layer from the equation and establishes a novel network to assist PINN in approximating the boundary layer. It is compared with traditional PINN by solving examples of one-dimensional, two-dimensional, and time-varying SPDE equations. The research findings underscore the exceptional performance of our novel approach, GKPINN, which delivers a remarkable enhancement in reducing the $L_2$ error by two to four orders of magnitude compared to the established PINN methodology. This significant improvement is accompanied by a substantial acceleration in convergence rates, without compromising the high precision that is critical for our applications. Furthermore, GKPINN still performs well in extreme cases with perturbation parameters of ${1\times10}^{-38}$, demonstrating its excellent generalization ability.