

Abstract:In this paper, we first define a difference measure between the old and new sequential patterns of stream data, which is proved to be a distance. Then we propose an experimental method, called TPD (Tradeoff between Performance and Difference), to decide when to update the sequential patterns of stream data by making a tradeoff between the performance of increasingly updating algorithms and the difference of sequential patterns. The experiments for the incremental updating algorithm IUS on two data sets show that generally, as the size of incremental windows grows, the values of the speedup and the values of the difference will decrease and increase respectively. It is also shown experimentally that the incremental ratio determined by the TPD method does not monotonically increase or decrease but changes in a range between 20 and 30 percentage for the IUS algorithm.




Abstract:In order to control the process of data mining and focus on the things of interest to us, many kinds of constraints have been added into the algorithms of data mining. However, discovering the correlated alarms in the alarm database needs deep domain constraints. Because the correlated alarms greatly depend on the logical and physical architecture of networks. Thus we use the network model as the constraints of algorithms, including Scope constraint, Inter-correlated constraint and Intra-correlated constraint, in our proposed algorithm called SMC (Search with Model-based Constraints). The experiments show that the SMC algorithm with Inter-correlated or Intra-correlated constraint is about two times faster than the algorithm with no constraints.



Abstract:Because the data being mined in the temporal database will evolve with time, many researchers have focused on the incremental mining of frequent sequences in temporal database. In this paper, we propose an algorithm called IUS, using the frequent and negative border sequences in the original database for incremental sequence mining. To deal with the case where some data need to be updated from the original database, we present an algorithm called DUS to maintain sequential patterns in the updated database. We also define the negative border sequence threshold: Min_nbd_supp to control the number of sequences in the negative border.



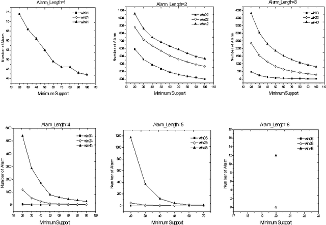
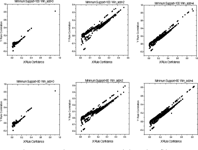
Abstract:Alarm correlation plays an important role in improving the service and reliability in modern telecommunications networks. Most previous research of alarm correlation didn't consider the effect of noise data in Database. This paper focuses on the method of discovering alarm correlation rules from database containing noise data. We firstly define two parameters Win_freq and Win_add as the measure of noise data and then present the Robust_search algorithm to solve the problem. At different size of Win_freq and Win_add, experiments with alarm data containing noise data show that the Robust_search Algorithm can discover the more rules with the bigger size of Win_add. We also experimentally compare two different interestingness measures of confidence and correlation.