



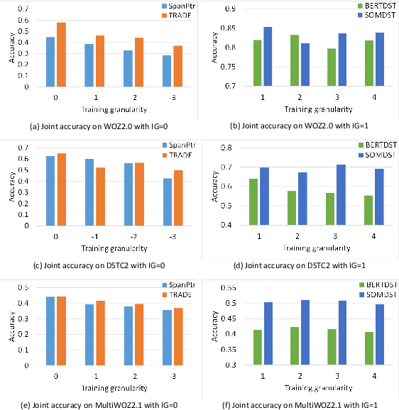
Abstract:Dialogue state tracking (DST) plays a key role in task-oriented dialogue systems to monitor the user's goal. In general, there are two strategies to track a dialogue state: predicting it from scratch and updating it from previous state. The scratch-based strategy obtains each slot value by inquiring all the dialogue history, and the previous-based strategy relies on the current turn dialogue to update the previous dialogue state. However, it is hard for the scratch-based strategy to correctly track short-dependency dialogue state because of noise; meanwhile, the previous-based strategy is not very useful for long-dependency dialogue state tracking. Obviously, it plays different roles for the context information of different granularity to track different kinds of dialogue states. Thus, in this paper, we will study and discuss how the context information of different granularity affects dialogue state tracking. First, we explore how greatly different granularities affect dialogue state tracking. Then, we further discuss how to combine multiple granularities for dialogue state tracking. Finally, we apply the findings about context granularity to few-shot learning scenario. Besides, we have publicly released all codes.




Abstract:Scalability for handling unknown slot values is a important problem in dialogue state tracking (DST). As far as we know, previous scalable DST approaches generally rely on either the candidate generation from slot tagging output or the span extraction in dialogue context. However, the candidate generation based DST often suffers from error propagation due to its pipelined two-stage process; meanwhile span extraction based DST has the risk of generating invalid spans in the lack of semantic constraints between start and end position pointers. To tackle the above drawbacks, in this paper, we propose a novel scalable dialogue state tracking method based on slot tagging navigation, which implements an end-to-end single-step pointer to locate and extract slot value quickly and accurately by the joint learning of slot tagging and slot value position prediction in the dialogue context, especially for unknown slot values. Extensive experiments over several benchmark datasets show that the proposed model performs better than state-of-the-art baselines greatly.




Abstract:As a key component in a dialogue system, dialogue state tracking plays an important role. It is very important for dialogue state tracking to deal with the problem of unknown slot values. As far as we known, almost all existing approaches depend on pointer network to solve the unknown slot value problem. These pointer network-based methods usually have a hidden assumption that there is at most one out-of-vocabulary word in an unknown slot value because of the character of a pointer network. However, often, there are multiple out-of-vocabulary words in an unknown slot value, and it makes the existing methods perform bad. To tackle the problem, in this paper, we propose a novel Context-Sensitive Generation network (CSG) which can facilitate the representation of out-of-vocabulary words when generating the unknown slot value. Extensive experiments show that our proposed method performs better than the state-of-the-art baselines.