Abstract:Reconfigurable refractive surface (RRS) is an efficient alternative to holographic multiple input multiple outputs (HMIMO) systems that can serve as a transmission unit operating in the signal refraction mode. RRS transmissions experience near-field propagation due to the proximity of the transmission feed and far-field propagation for the user located farther from the transmitting unit. There is limited research on the effect of channel fading on far-field users in RRS-based transmissions. In this paper, we conduct an exact statistical analysis of RRS-based transmission considering alpha-eta-kappa-mu fading model for the far-field user and the near-field effect of transmission feed. First, we show the exact statistical analysis for the RRS transmission over alpha-eta-kappa-mu fading model consisting of multiple infinite-series representations with multivariate Fox-H function. Next, we develop a novel approach to derive the density and distribution functions for the resultant fading channel of the RRS system in terms of multivariate Fox-H functions without involving infinite series approximations for tractable performance analysis. We present the exact outage probability and average bit-error-rate (BER) performance of single-element and multiple-element RRS systems to validate the proposed analysis further. We also obtain the diversity order of the system by analyzing the outage probability at a high signal-to-noise ratio (SNR). Computer simulations demonstrate the relevance of the developed statistical results for RRS-based wireless systems over the generalized fading model for a comprehensive performance evaluation.
Abstract:The current body of research on terahertz (THz) wireless communications predominantly focuses on its application for single-user backhaul/fronthaul connectivity at sub-THz frequencies. First, we develop a generalized statistical model for signal propagation at THz frequencies encompassing physical layer impairments, including random path-loss with Gamma distribution for the molecular absorption coefficient, short-term fading characterized by the $\alpha$-$\eta$-$\kappa$-$\mu$ distribution, antenna misalignment errors, and transceiver hardware impairments. Next, we propose random access protocols for a cell-free wireless network, ensuring successful transmission for multiple users with limited delay and energy loss, exploiting the combined effect of random atmospheric absorption, non-linearity of fading, hardware impairments, and antenna misalignment errors. We consider two schemes: a fixed transmission probability (FTP) scheme where the transmission probability (TP) of each user is updated at the beginning of the data transmission and an adaptive transmission probability (ATP) scheme where the TP is updated with each successful reception of the data. We analyze the performance of both protocols using delay, energy consumption, and outage probability with scaling laws for the transmission of a data frame consisting of a single packet from users at a predefined quality of service (QoS).
Abstract:Current statistical channel models for Terahertz (THz) wireless communication primarily concentrate on the sub-THz band, mostly with $\alpha$-$\mu$ and Gaussian mixture fading distributions for short-term fading and deterministic modeling for atmospheric absorption. In this paper, we develop a generalized statistical model for signal propagation at THz frequencies considering random path-loss employing Gamma distribution for the molecular absorption coefficient, short-term fading characterized by the $\alpha$-$\eta$-$\kappa$-$\mu$ distribution, antenna misalignment errors, and transceiver hardware impairments. The proposed model can handle various propagation scenarios, including indoor and outdoor environments, backhaul/fronthaul situations, and complex urban settings. Using Fox's H-functions, we present the probability density function (PDF) and cumulative distribution function (CDF) that capture the combined statistical effects of channel impairments. We analyze the outage probability of a THz link to demonstrate the analytical tractability of the proposed generalized model. We present computer simulations to demonstrate the efficacy of the proposed model for performance assessment with the statistical effect of atmospheric absorption.
Abstract:Establishing end-to-end connectivity of Internet of Things (IoT) network with the core for collecting sensing data from remote and hard-to-reach terrains is a challenging task. In this article, we analyze the performance of an IoT network integrated with wireless backhaul link for data collection. We propose a solution that involves a self-configuring protocol for aggregate node (AN) selection in an IoT network, which sends the data packet to an unmanned aerial vehicle (UAV) over radio frequency (RF) channels. We adopt a novel hybrid transmission technique for wireless backhaul employing opportunistic selections combining (OSC) and maximal ratio combining (MRC) that simultaneously transmits the data packet on mmWave (mW), free space optical (FSO), and terahertz (THz) technologies to take advantage of their complementary characteristics. We employ the decode-and-forward (DF) protocol to integrate the IoT and backhaul links and provide physical layer performance assessment using outage probability and average bit-error-rate (BER) under diverse channel conditions. We also develop simplified expressions to gain a better understanding of the system's performance at high signal-to-noise ratio (SNR). We provide computer simulations to compare different wireless backhaul technologies under various channel and SNR scenarios and demonstrate the performance of the data collection using the integrated link.
Abstract:Transceiver hardware impairment (THI) is inevitable for high-date rate terahertz (THz) communication. Existing statistical analysis either neglects THI's effect or provides approximate results when analyzing the performance of the THz system combined with channel fading and antenna misalignment. In this paper, we develop exact analytical expressions for the average signal-to-noise ratio (SNR), ergodic capacity, and average bit-error-rate (BER) performance of a THz wireless link under the combined effect of $\alpha$-$\mu$ fading channel, zero-boresight pointing errors, and the Gaussian distributed THI. We also derive asymptotic expressions for the outage probability and average BER, which shows that the diversity order of the THz link is independent of THI's parameters. Simulations validate the derived analytical results and demonstrate the impact of the THI parameters on the THz performance.
Abstract:The $\alpha$-$\eta$-$\kappa$-$\mu$ is one of the most generalized and flexible channel models having an excellent fit to experimental data from diverse propagation environments. The existing statistical results on the envelope of $\alpha$-$\eta$-$\kappa$-$\mu$ model contain an infinite series involving regularized hypergeometric function and generalized Laguerre polynomial, prohibiting its widespread application in the performance analysis of wireless systems. In this paper, we employ a novel approach to derive density and distribution functions of the envelope of the $\alpha$-$\eta$-$\kappa$-$\mu$ fading channel without an infinite series approximation. The derived statistical results are presented using a single Fox's H-function for tractable performance analysis and efficient numerical computations, especially for high-frequency mmWave and terahertz wireless transmissions. To gain insight into the distribution of channel envelope, we develop an asymptotic analysis using a more straightforward Gamma function converging to the exact within a reasonable range of channel parameters. To further substantiate the proposed analysis, we present the exact outage probability and average bit-error-rate (BER) performance of a wireless link subjected to the $\alpha$-$\eta$-$\kappa$-$\mu$ fading model using a single tri-variate Fox's H-function. We obtain the diversity order of the system by analyzing the outage probability at a high signal-to-noise (SNR) ratio. We use numerical and simulation analysis to demonstrate the significance of the developed statistical results compared with the existing infinite series representation for the envelope of the $\alpha$-$\eta$-$\kappa$-$\mu$ model.


Abstract:Recent research has focused on single antenna radio-frequency (RF) and terahertz (THz) wireless systems to mix the access link with the backhaul. In this paper, we evaluate the performance of a mixed RF-THz system employing multiple antenna-assisted access point (AP) for the RF link and single-antenna THz transmissions. We employ an equal gain combining (EGC) receiver at the AP and use the fixed-gain amplify and forward (AF) relaying protocol to interface the RF and THz links. We derive analytical expressions for probability density function (PDF) and cumulative distribution function (CDF) of the end-to-end SNR for the considered system assuming independent and non-identically distributed (i.ni.d.) $\alpha$-$\mu$ distribution to model for both RF and THz channels and pointing errors in the THz link. We analyze the system performance using the outage probability, average bit error rate (BER), and ergodic capacity involving bivariate Fox's H-function. We use the residue method to develop asymptotic analysis using Gamma functions to show the impact of the various channel and system parameters on the outage probability and average BER in the high SNR regime. We use computer simulations to depict the scaling of the performance with an increase in the number of antennas at the AP for signal reception in the access link.




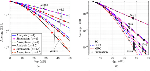
Abstract:Recent studies investigate single-antenna radio frequency (RF) systems mixed with terahertz (THz) wireless communications. This paper considers a two-tier system of THz for backhaul and multiple-antenna assisted RF for the access network. We analyze the system performance by employing both selection combining (SC) and maximal ratio combining (MRC) receivers for the RF link integrated with the THz using the fixed-gain amplify and forward (AF) protocol. We develop the probability density function (PDF) and cumulative distribution function (CDF) of the end-to-end signal-to-noise (SNR) of the dual-hop system over independent and non-identically distributed (i.ni.d.) $\alpha$-$\mu$ fading channels with a statistical model for misalignment errors in the THz wireless link. We use the derived statistical results to develop analytical expressions of the outage probability, average bit error rate (BER), and ergodic capacity for the performance assessment of the considered system. We develop diversity order of the system using asymptotic analysis in the high SNR region, demonstrating the scaling of system performance with the number of antennas. We use computer simulations to show the effect of system and channel parameters on the performance of the hybrid THz-RF link with multi-antenna diversity schemes.

Abstract:Recent research investigates the decode-and-forward (DF) relaying for mixed radio frequency (RF) and terahertz (THz) wireless links with zero-boresight pointing errors. In this letter, we analyze the performance of a fixed-gain amplify-and-forward (AF) relaying for the RF-THz link to interface the access network on the RF technology with wireless THz transmissions. We develop probability density function (PDF) and cumulative distribution function (CDF) of the end-to-end SNR for the relay-assisted system in terms of bivariate Fox's H function considering $\alpha$-$\mu$ fading for the THz system with non-zero boresight pointing errors and $\alpha$-$\kappa$-$\mu$ shadowed ($\alpha$-KMS) fading model for the RF link. Using the derived PDF and CDF, we present exact analytical expressions of the outage probability, average bit-error-rate (BER), and ergodic capacity of the considered system. We also analyze the outage probability and average BER asymptotically for a better insight into the system behavior at high SNR. We use simulations to compare the performance of the AF relaying having a semi-blind gain factor with the recently proposed DF relaying for THz-RF transmissions.


Abstract:THz transmissions suffer from pointing errors due to antenna misalignment and incur higher path loss from the molecular absorption in addition to the channel fading. In this paper, we employ an amplify-and-forward (AF) dual-hop relaying to mitigate the effect of pointing errors and extend the range of the THz wireless system for backhaul connectivity. We provide statistical analysis on the performance of the considered system by deriving analytical expressions for the outage probability, average bit-error-rate (BER), average signal-to-noise ratio (SNR), and a lower bound on the ergodic capacity over independent and identical (i.i.d) $\alpha$-$\mu$ fading combined with the statistical effect of pointing errors. Using computer simulations, we validate the derived analysis of the relay-assisted system. We also demonstrate the effect of the system parameters on outage probability and average BER with the help of diversity order. We show that data rates up to several \mbox{Gbps} can be achieved using THz transmissions, which is desirable for next-generation wireless systems, especially for backhaul applications.