



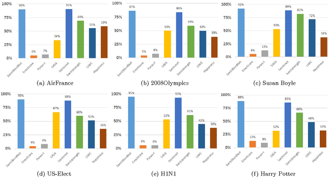
Abstract:In the last few years thousands of scientific papers have investigated sentiment analysis, several startups that measure opinions on real data have emerged and a number of innovative products related to this theme have been developed. There are multiple methods for measuring sentiments, including lexical-based and supervised machine learning methods. Despite the vast interest on the theme and wide popularity of some methods, it is unclear which one is better for identifying the polarity (i.e., positive or negative) of a message. Accordingly, there is a strong need to conduct a thorough apple-to-apple comparison of sentiment analysis methods, \textit{as they are used in practice}, across multiple datasets originated from different data sources. Such a comparison is key for understanding the potential limitations, advantages, and disadvantages of popular methods. This article aims at filling this gap by presenting a benchmark comparison of twenty-four popular sentiment analysis methods (which we call the state-of-the-practice methods). Our evaluation is based on a benchmark of eighteen labeled datasets, covering messages posted on social networks, movie and product reviews, as well as opinions and comments in news articles. Our results highlight the extent to which the prediction performance of these methods varies considerably across datasets. Aiming at boosting the development of this research area, we open the methods' codes and datasets used in this article, deploying them in a benchmark system, which provides an open API for accessing and comparing sentence-level sentiment analysis methods.




Abstract:Several messages express opinions about events, products, and services, political views or even their author's emotional state and mood. Sentiment analysis has been used in several applications including analysis of the repercussions of events in social networks, analysis of opinions about products and services, and simply to better understand aspects of social communication in Online Social Networks (OSNs). There are multiple methods for measuring sentiments, including lexical-based approaches and supervised machine learning methods. Despite the wide use and popularity of some methods, it is unclear which method is better for identifying the polarity (i.e., positive or negative) of a message as the current literature does not provide a method of comparison among existing methods. Such a comparison is crucial for understanding the potential limitations, advantages, and disadvantages of popular methods in analyzing the content of OSNs messages. Our study aims at filling this gap by presenting comparisons of eight popular sentiment analysis methods in terms of coverage (i.e., the fraction of messages whose sentiment is identified) and agreement (i.e., the fraction of identified sentiments that are in tune with ground truth). We develop a new method that combines existing approaches, providing the best coverage results and competitive agreement. We also present a free Web service called iFeel, which provides an open API for accessing and comparing results across different sentiment methods for a given text.