Abstract:License plate recognition in open environments is widely applicable across various domains; however, the diversity of license plate types and imaging conditions presents significant challenges. To address the limitations encountered by CNN and CRNN-based approaches in license plate recognition, this paper proposes a unified solution that integrates a lightweight visual encoder with a text decoder, within a pre-training framework tailored for single and double-line Chinese license plates. To mitigate the scarcity of double-line license plate datasets, we constructed a single/double-line license plate dataset by synthesizing images, applying texture mapping onto real scenes, and blending them with authentic license plate images. Furthermore, to enhance the system's recognition accuracy, we introduce a perspective correction network (PTN) that employs license plate corner coordinate regression as an implicit variable, supervised by license plate view classification information. This network offers improved stability, interpretability, and low annotation costs. The proposed algorithm achieves an average recognition accuracy of 99.34% on the corrected CCPD test set under coarse localization disturbance. When evaluated under fine localization disturbance, the accuracy further improves to 99.58%. On the double-line license plate test set, it achieves an average recognition accuracy of 98.70%, with processing speeds reaching up to 167 frames per second, indicating strong practical applicability.




Abstract:A photonics-enabled wavelet-like transform system, characterized by multi-resolution time-frequency analysis, is proposed based on a typical stimulated Brillouin scattering (SBS) pump-probe setup using an optical nonlinear frequency-sweep signal. In the pump path, a continuous-wave optical signal is injected into an SBS medium to generate an SBS gain. In the probe path, a periodic nonlinear frequency-sweep optical signal with a time-varying chirp rate is generated, which is then modulated at a Mach-Zehnder modulator (MZM) by the electrical signal under test (SUT). The optical signal from the MZM is selectively amplified by the SBS gain and converted back to the electrical domain using a low-speed photodetector, implementing the periodic SBS-based frequency-to-time mapping (FTTM). The frequency-domain information corresponding to different periods is mapped to the time domain via the FTTM in the form of low-speed electrical pulses, which is then spliced to analyze the time-frequency relationship of the SUT in real-time. The time-varying chirp rate in each sweep period makes the signals with different frequencies have different frequency resolutions in the FTTM process, which is very similar to the characteristics of the wavelet transform, so we call it wavelet-like transform. An experiment is carried out. Multi-resolution time-frequency analysis of a variety of RF signals is carried out in a 4-GHz bandwidth limited only by the equipment.
Abstract:In this paper, the filter- and frequency-to-time mapping (FTTM)-based photonics-assisted time and frequency acquisition methods are comprehensively analyzed and the accuracy and resolution limitation in the fast sweep scenario is broken by broadening the filter bandwidth. It is found that when the sweep speed is very fast, the width of the generated pulse via FTTM is mainly determined by the impulse response of the filter. In this case, appropriately increasing the filter bandwidth can significantly reduce the pulse width, so as to improve the measurement accuracy and resolution. FTTM-based short-time Fourier transform (STFT) and microwave frequency measurement using the stimulated Brillouin scattering (SBS) effect is demonstrated by comparing the results with and without SBS gain spectrum broadening and the improvement of measurement accuracy and frequency resolution is well confirmed. The frequency measurement accuracy of the system is improved by around 25 times compared with the former work using a similar sweep speed, while the frequency resolution of the STFT is also much improved compared with our former results.




Abstract:A photonics-based short-time Fourier transform (STFT) system is proposed and experimentally demonstrated based on stimulated Brillouin scattering (SBS) without using high-frequency electronic devices and equipment. The wavelength of a distributed feedback laser diode is periodically swept by using a low-speed periodic sawtooth/triangular driving current. The periodic frequency-sweep optical signal is modulated by the signal under test (SUT) and then injected into a section of SBS medium. The optical signal from another laser diode as the pump wave is reversely injected into the SBS medium. After simply detecting the forward transmission optical signals in a low-speed photodetector, the STFT of the SUT can be implemented. The system is characterized by the absence of any high-frequency electronic devices or equipment. An experiment is performed. The STFT of a variety of RF signals is carried out in a 4-GHz bandwidth. The dynamic frequency resolution is demonstrated to be around 60 MHz.




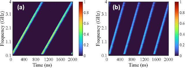
Abstract:In this paper, all-optical short-time Fourier transform (STFT) based on stimulated Brillouin scattering (SBS) is proposed and further used for real-time time-frequency analysis of different radio frequency (RF) signals. In the proposed all-optical STFT system, SBS not only provides a band-pass filter for implementing the window function in conjunction with a periodic frequency-sweep optical signal but also obtains the frequency domain information in different time windows through the generated waveform via frequency-to-time mapping (FTTM). A periodic frequency-sweep optical signal is generated and then modulated at a Mach-Zehnder modulator by the electrical signal under test (SUT). During different sweep periods, the fixed Brillouin gain functions as a bandpass filter to select a specific range of the spectrum, which is equivalent to applying a sliding window function to the corresponding section of the temporal signal with the help of the sweep optical signal. At the same time, after the optical signal is selectively amplified by the SBS gain and converted back to the electrical domain, SBS also implements the real-time FTTM, which can be utilized to obtain the frequency domain information corresponding to different time windows through the generated waveforms via the FTTM. The frequency domain information corresponding to different time windows is formed and spliced to analyze the time-frequency relationship of the SUT in real-time. An experiment is performed. STFTs of a variety of RF signals are carried out in a 12-GHz bandwidth limited only by the equipment, and the dynamic frequency resolution is better than 60 MHz.




Abstract:A novel photonic approach to the time-frequency analysis of microwave signals is proposed based on the stimulated Brillouin scattering (SBS)-assisted frequency-to-time mapping (FTTM). Two types of time-frequency analysis links, namely parallel SBS link and time-division SBS link are proposed. The parallel SBS link can be utilized to perform real-time time-frequency analysis of microwave signal, which provides a promising solution for real-time time-frequency analysis, especially when it is combined with the photonic integration technique. A simulation is made to verify its feasibility by analyzing signals in multiple formats. The time-division SBS link has a simpler and reconfigurable structure, which can realize an ultra-high-resolution time-frequency analysis for periodic signals using the time segmentation and accumulation technique. An experiment is performed for the time-division SBS link. The multi-dimensional reconfigurability of the system is experimentally studied. An analysis bandwidth of 3.9 GHz, an analysis frequency up to 20 GHz, and a frequency resolution of 15 MHz are demonstrated, respectively.