Abstract:The recent revolutionary progress in text-based large language models (LLMs) has contributed to the growth of interest in extending capabilities of such models to multimodal perception and understanding tasks. Hearing is an essential capability that is highly desired to be integrated into LLMs. However, effective integrating listening capabilities into LLMs is a significant challenge lying in generalizing complex auditory tasks across speech and sounds. To address these issues, we introduce Cryfish, our version of auditory-capable LLM. The model integrates WavLM audio-encoder features into Qwen2 model using a transformer-based connector. Cryfish is adapted to various auditory tasks through a specialized training strategy. We evaluate the model on the new Dynamic SUPERB Phase-2 comprehensive multitask benchmark specifically designed for auditory-capable models. The paper presents an in-depth analysis and detailed comparison of Cryfish with the publicly available models.
Abstract:Co-crystallization is an accessible way to control physicochemical characteristics of organic crystals, which finds many biomedical applications. In this work, we present Generative Method for Co-crystal Design (GEMCODE), a novel pipeline for automated co-crystal screening based on the hybridization of deep generative models and evolutionary optimization for broader exploration of the target chemical space. GEMCODE enables fast de novo co-crystal design with target tabletability profiles, which is crucial for the development of pharmaceuticals. With a series of experimental studies highlighting validation and discovery cases, we show that GEMCODE is effective even under realistic computational constraints. Furthermore, we explore the potential of language models in generating co-crystals. Finally, we present numerous previously unknown co-crystals predicted by GEMCODE and discuss its potential in accelerating drug development.




Abstract:The paper presents a method to validate and refine the ship's route during the voyage. The method is based on computing several characteristic coefficients that represent and measure route properties. Thru the analysis of the values of these coefficient, one can analyse the overall route quality and detect possibly dangerous discrepancies between the actual route and the planned route.The paper describes the proposed characteristic coefficients, the process of route refinement and the method for prediction and validation of the route's future changes.


Abstract:The problem of out of vocabulary words (OOV) is typical for any speech recognition system, hybrid systems are usually constructed to recognize a fixed set of words and rarely can include all the words that will be encountered during exploitation of the system. One of the popular approach to cover OOVs is to use subword units rather then words. Such system can potentially recognize any previously unseen word if the word can be constructed from present subword units, but also non-existing words can be recognized. The other popular approach is to modify HMM part of the system so that it can be easily and effectively expanded with custom set of words we want to add to the system. In this paper we explore different existing methods of this solution on both graph construction and search method levels. We also present a novel vocabulary expansion techniques which solve some common internal subroutine problems regarding recognition graph processing.




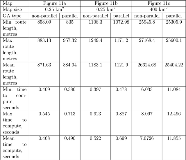
Abstract:The paper represents an algorithm for planning safe and optimal routes for transport facilities with unrestricted movement direction that travel within areas with obstacles. Paper explains the algorithm using a ship as an example of such a transport facility. This paper also provides a survey of several existing solutions for the problem. The method employs an evolutionary algorithm to plan several locally optimal routes and a parallel genetic algorithm to create the final route by optimising the abovementioned set of routes. The routes are optimized against the arrival time, assuming that the optimal route is the route with the lowermost arrival time. It is also possible to apply additional restriction to the routes.