Abstract:This paper presents a sensing management frame- work for integrated sensing and communications (ISAC) within cell-free massive multiple-input multiple-output (MIMO) systems to reduce pilot-based channel state information (CSI) acquisition overhead. Conventional communication systems rely on frequent channel estimation procedures that impose significant signaling overhead, consuming valuable time-frequency resources. To ad- dress this inefficiency, we propose a state-based architecture that partitions users into communication and sensing groups based on service requirements. When users are not requesting data, the system utilizes sensing capabilities to track their location. Upon receiving a communication request, the system transitions to communication mode, leveraging the tracked state for predictive beamforming to eliminate the need for uplink pilot training. We develop an extended Kalman filter (EKF) based tracking algorithm coupled with adaptive resource allocation strategies. Furthermore, we analyze the impact of inter-target interference and design a sensing management protocol that performs sensing operations only when necessary to maintain the accuracy of user location estimates. Simulation results demonstrate that the pro- posed EKF-based tracking and sensing management can support predictive beamforming with downlink spectral efficiency close to the perfect-CSI case, while requiring sensing only occasionally after an initial convergence period. The results also indicate that this performance is robust in a cell-free massive MIMO setup and can be achieved with practical sensing waveforms.




Abstract:This paper presents the first experimental validation of reflective near-field beamfocusing using a reconfigurable intelligent surface (RIS). While beamfocusing has been theoretically established as a key feature of large-aperture RISs, its practical realization has remained unexplored. We derive new analytical expressions for the array gain achieved with a $b$-bit RIS in near-field line-of-sight scenarios, characterizing both the finite depth and angular width of the focal region. The theoretical results are validated through a series of measurements in an indoor office environment at 28 GHz using a one-bit 1024-element RIS. The experiments confirm that near-field beamfocusing can be dynamically achieved and accurately predicted by the proposed analytical model, despite the presence of hardware imperfections and multipath propagation. These findings demonstrate that near-field beamfocusing is a robust and practically viable feature of RIS-assisted wireless communications.
Abstract:This paper introduces a sensing management method for integrated sensing and communications (ISAC) in cell-free massive multiple-input multiple-output (MIMO) systems. Conventional communication systems employ channel estimation procedures that impose significant overhead during data transmission, consuming resources that could otherwise be utilized for data. To address this challenge, we propose a state-based approach that leverages sensing capabilities to track the user when there is no communication request. Upon receiving a communication request, predictive beamforming is employed based on the tracked user position, thereby reducing the need for channel estimation. Our framework incorporates an extended Kalman filter (EKF) based tracking algorithm with adaptive sensing management to perform sensing operations only when necessary to maintain high tracking accuracy. The simulation results demonstrate that our proposed sensing management approach provides uniform downlink communication rates that are higher than with existing methods by achieving overhead-free predictive beamforming.




Abstract:Sensing emerges as a critical challenge in 6G networks, which require simultaneous communication and target sensing capabilities. State-of-the-art super-resolution techniques for the direction of arrival (DoA) estimation encounter significant performance limitations when the number of targets exceeds antenna array dimensions. This paper introduces a novel sensing parameter estimation algorithm for orthogonal frequency-division multiplexing (OFDM) multiple-input multiple-output (MIMO) radar systems. The proposed approach implements a strategic two-stage methodology: first, discriminating targets through delay and Doppler domain filtering to reduce the number of effective targets for super-resolution DoA estimation, and second, introducing a fusion technique to mitigate sidelobe interferences. The algorithm enables robust DoA estimation, particularly in high-density target environments with limited-size antenna arrays. Numerical simulations validate the superior performance of the proposed method compared to conventional DoA estimation approaches.




Abstract:The initial 6G networks will likely operate in the upper mid-band (7-24 GHz), which has decent propagation conditions but underwhelming new spectrum availability. In this paper, we explore whether we can anyway reach the ambitious 6G performance goals by evolving the multiple-input multiple-output (MIMO) technology from being massive to gigantic. We describe how many antennas are needed and can realistically be deployed, and what the peak user rate and degrees-of-freedom (DOF) can become. We further suggest a new deployment strategy that enables the utilization of radiative near-field effects in these bands for precise beamfocusing, localization, and sensing from a single base station site. We also identify five open research challenges that must be overcome to efficiently use gigantic MIMO dimensions in 6G from hardware, cost, and algorithmic perspectives.


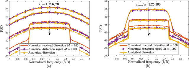
Abstract:Nonlinear distortion stemming from low-cost power amplifiers may severely affect wireless communication performance through out-of-band (OOB) radiation and in-band distortion. The distortion is correlated between different transmit antennas in an antenna array, which results in a beamforming gain at the receiver side that grows with the number of antennas. In this paper, we investigate how the strength of the distortion is affected by the frequency selectivity of the channel. A closed-form expression for the received distortion power is derived as a function of the number of multipath components (MPCs) and the delay spread, which highlight their impact. The performed analysis, which is verified via numerical simulations, reveals that as the number of MPCs increases, distortion exhibits distinct characteristics for in-band and OOB frequencies. It is shown that the received in-band and OOB distortion power is inversely proportional to the number of MPCs, and it is reported that as the delay spread gets narrower, the in-band distortion power is beamformed towards the intended user, which yields higher received in-band distortion compared to the OOB distortion.




Abstract:Proportionate type algorithms were developed and excessively used in the echo cancellation problems due to sparse characteristics of the echo channels. In the past, most of the attention was paid to a particular type of proportionate approach, which assigns step-sizes to filter coefficients proportional to the magnitude of the corresponding coefficient. In this letter, we propose a new proportionate type algorithm, which takes dynamic behavior of the estimated filter coefficient into account while assigning individual step-sizes to each coefficient. Proposed algorithm introduces an effective way to assign individual step-sizes using the time derivatives of the filter coefficients. Computational complexity of the proposed algorithm is similar to those of previously proposed algorithms. Simulation results have shown the improvements in the convergence rate achieved by the proposed algorithm.