Abstract:In this paper, we propose time and frequency synchronization techniques for uplink multiuser OTFS (MU-OTFS) systems in high-mobility scenarios. This work focuses on accurately estimating and correcting timing offsets (TOs) and carrier frequency offsets (CFOs). Specifically, TO estimation is essential for locating users' pilots on the delay-time plane, while CFO estimation enhances channel estimation accuracy. First, we propose a TO estimation technique for an existing multiuser pilot structure in MU-OTFS. We replace the impulse pilot (IMP) in this pilot structure with a more practical pilot with a cyclic prefix (PCP), referred to as single-user-inspired PCP (SU-PCP). This structure employs different Zadoff-Chu (ZC) sequences, which enables pilot separation via correlation at the receiver side. Consequently, we introduce a correlation-based TO estimation technique for uplink MU-OTFS using this pilot structure. Next, a spectrally efficient and practical pilot pattern is proposed, where each user transmits a PCP within a shared pilot region on the delay-Doppler plane, referred to as MU-PCP. At the receiver, the second TO estimation technique utilizes a bank of filters to separate different users' signals and accurately estimate their TOs. Then, we derive a mathematical threshold range to enhance TO estimation accuracy by finding the first major peak in the correlation function rather than relying solely on the highest peak. After locating the received users' pilot signals using one of the proposed TO estimation techniques, our proposed CFO estimation technique reduces the multi-dimensional maximum likelihood (ML) search problem into multiple one-dimensional search problems. In this technique, we apply the Chebyshev polynomials of the first kind basis expansion model (CPF-BEM) to effectively handle the time-variations of the channel in obtaining the CFO estimates for all the users.




Abstract:This paper proposes a novel modulation technique called globally filtered orthogonal time frequency space (GF-OTFS) which integrates single-carrier frequency division multiple access (SC-FDMA)-based delay-Doppler representation with universal filtered multi-carrier (UFMC) modulation. Our proposed technique first arranges the frequency-Doppler bins of an orthogonal time frequency space (OTFS) frame in adjacency using SC-FDMA and then applies universal filtering to the neighboring signals to mitigate inter-Doppler interference (IDI). By employing this approach, GF-OTFS achieves superior spectral containment and effectively mitigates interference caused by Doppler shifts in dynamic, time-varying channels. This paper also presents a detailed mathematical formulation of the proposed modulation technique. Furthermore, a comprehensive performance evaluation is conducted, comparing our GF-OTFS approach to state-of-the-art techniques, including Doppler-resilient UFMC (DR-UFMC) and receiver windowed OTFS (RW-OTFS). Key performance metrics, such as bit error rate (BER) and out-of-band (OOB) emissions, as well as the Doppler spread reduction are analyzed to assess the effectiveness of each approach. The results indicate that our proposed technique achieves comparable BER performance while significantly improving spectral containment.




Abstract:In this paper, we propose time and frequency synchronization techniques for the uplink of multiuser OTFS (MU-OTFS) in high-mobility scenarios. We introduce a spectrally efficient and practical pilot pattern where each user utilizes a pilot with a cyclic prefix (PCP) within a shared pilot region on the delay-Doppler plane. At the receiver, a bank of filters is deployed to separate the users' signals and accurately estimate their timing offsets (TOs) and carrier frequency offsets (CFOs). Our technique employs a threshold-based approach that provides precise TO estimates. Our proposed CFO estimation technique reduces the multi-dimensional maximum likelihood (ML) search problem into multiple one-dimensional search problems. Furthermore, we apply the Chebyshev polynomials of the first kind basis expansion model (CPF-BEM) to effectively handle the time-variations of the channel in obtaining the CFO estimates for all the users. Finally, we numerically investigate the error performance of our proposed synchronization technique in high mobility scenarios for the MU-OTFS uplink. Our simulation results confirm the efficacy of the proposed technique in estimating the TOs and CFOs which also leads to an improved channel estimation performance.




Abstract:This paper compares orthogonal time frequency space (OTFS) modulation and single-carrier frequency division multiple access (SC-FDMA). It shows that these are equivalent except for a set of linear phase shifts, applied to the transmit/receive data symbols, which can be absorbed into the channel. Through mathematical and numerical analysis, it is confirmed that SC-FDMA is in fact a delay-Doppler domain multiplexing technique that can achieve the same performance gains as those of OTFS in time-varying wireless environments. This is a promising result as SC-FDMA is already a part of the current wireless standards. The derivations in this paper also shed light on the time-frequency resources used by the delay-Doppler domain data symbols with the fine granularity of delay and Doppler spacings. While comparing the detection performance of the two waveforms, a timing offset (TO) estimation technique with orders of magnitude higher accuracy than the existing solutions in the literature is proposed. From multiple access viewpoint, the underlying tile structures in the time-frequency domain for OTFS and SC-FDMA are discussed. Finally, multiuser input-output relationships for both waveforms in the uplink are derived.




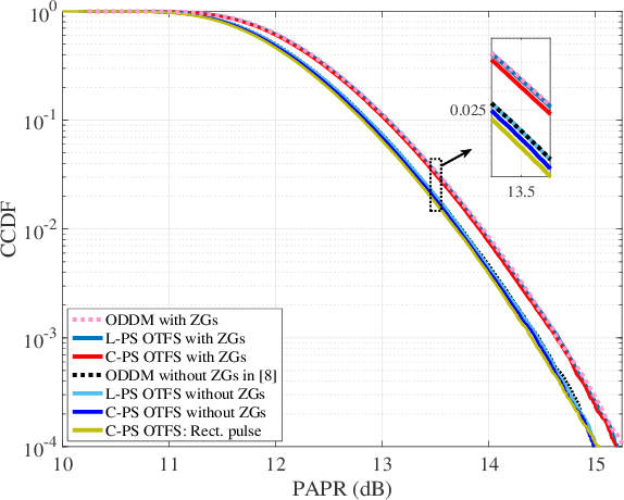
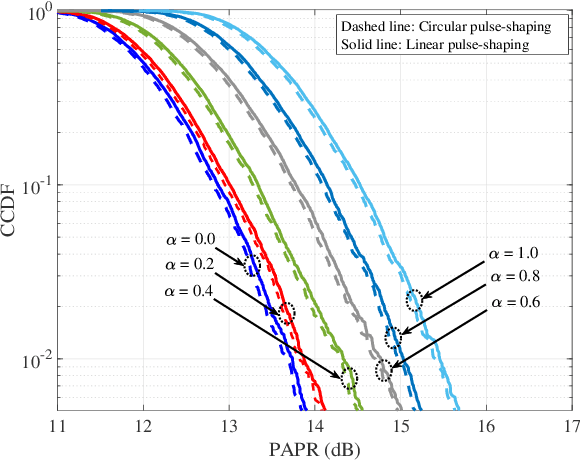
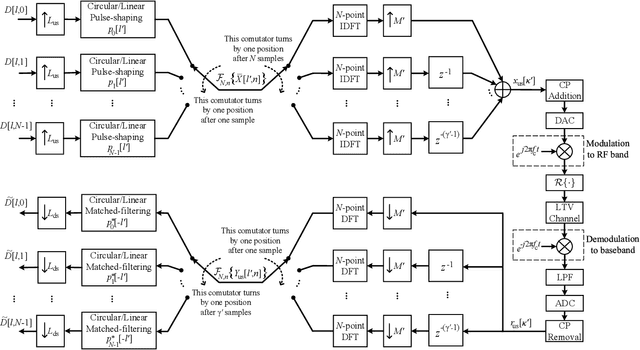
Abstract:Delay-Doppler multiplexing has recently stirred a great deal of attention in research community. While multiple studies have investigated pulse-shaping aspects of this technology, it is challenging to identify the relationships between different pulse-shaping techniques and their properties. Hence, in this paper, we classify these techniques into two types, namely, circular and linear pulse-shaping. This paves the way towards the development of a unified framework that brings deep insights into the properties, similarities, and distinctions of different pulse-shaping techniques. This framework reveals that the recently emerged waveform orthogonal delay-Doppler multiplexing (ODDM) is a linear pulse-shaping technique with an interesting staircase spectral behaviour. Using this framework, we derive a generalized input-output relationship that captures the influence of pulse-shaping on the effective channel. We also introduce a unified modem for delay-Doppler plane pulse-shaping that leads to the proposal of fast convolution based low-complexity structures. Based on our complexity analysis, the proposed modem structures are substantially simpler than the existing ones in the literature. Furthermore, we propose effective techniques that not only reduce the out-of-band (OOB) emissions of circularly pulse-shaped signals but also improve the bit-error-rate (BER) performance of both circular and linear pulse-shaping techniques. Finally, we extensively compare different pulse-shaping techniques using various performance metrics.




Abstract:The primary objective of this paper is to establish a generalized framework for pulse-shaping on the delay-Doppler plane. To this end, we classify delay-Doppler pulse-shaping techniques into two types, namely, circular and linear pulse-shaping. This paves the way towards the development of a generalized pulse-shaping framework. Our generalized framework provides the opportunity to compare different pulse-shaping techniques under the same umbrella while bringing new insights into their properties. In particular, our derivations based on this framework reveal that the recently emerged waveform orthogonal delay-Doppler multiplexing modulation (ODDM) is a linear pulse-shaping technique. By presenting ODDM under our generalized framework, we clearly explain the observed staircase behavior of its spectrum which has not been previously reported in the literature. Another contribution of this paper is proposal of a simple out-of-band (OOB) emission reduction technique by inserting a small number of zero-guard (ZG) symbols along the delay dimension of the circularly pulse-shaped signals. Additionally, inserting the zero-guards improves the bit-error-rate (BER) performance of both circular and linear pulse-shaping techniques. Finally, our simulation results confirm the validity of our mathematical derivations, claims and the effectiveness of the ZGs in OOB reduction and BER performance improvement.
Abstract:In the existing literature on joint timing and frequency synchronization of orthogonal time frequency space modulation (OTFS), practically infeasible impulse pilot with large peak-to-average power ratio (PAPR) is deployed. Hence, in this paper, we propose a timing offset (TO) and carrier frequency offset (CFO) estimation for OTFS over a linear time-varying (LTV) channel, using a low PAPR pilot structure. The proposed technique utilizes the recently proposed practically feasible pilot structure with a cyclic prefix (PCP). We exploit the periodic properties of PCP in both delay and time domains to find the starting point of each OTFS block. Furthermore, we propose a two-stage CFO estimation technique with over an order of magnitude higher estimation accuracy than the existing estimator using the impulse pilot. In the first stage, a coarse CFO estimate is obtained which is refined in the second stage, through our proposed maximum likelihood (ML) based approach. The proposed ML-based approach deploys the generalized complex exponential basis expansion model (GCE-BEM) to capture the time variations of the channel, absorb them into the pilot and provide an accurate CFO estimate. Since our proposed synchronization technique utilizes the same pilot deployed for channel estimation, it does not require any additional overhead. Finally, we evaluate the performance of our proposed synchronization technique through simulations. We also compare and show the superior performance of our proposed technique to the only other existing joint TO and CFO estimation method in OTFS literature.