



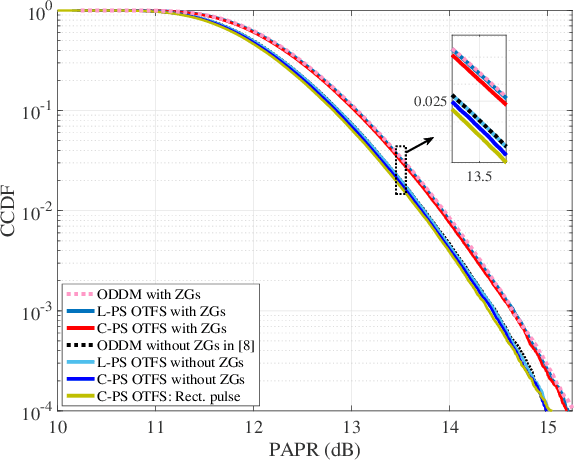
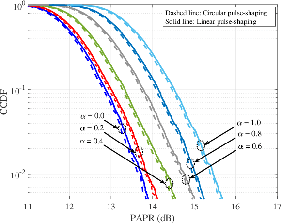
Delay-Doppler multiplexing has recently stirred a great deal of attention in research community. While multiple studies have investigated pulse-shaping aspects of this technology, it is challenging to identify the relationships between different pulse-shaping techniques and their properties. Hence, in this paper, we classify these techniques into two types, namely, circular and linear pulse-shaping. This paves the way towards the development of a unified framework that brings deep insights into the properties, similarities, and distinctions of different pulse-shaping techniques. This framework reveals that the recently emerged waveform orthogonal delay-Doppler multiplexing (ODDM) is a linear pulse-shaping technique with an interesting staircase spectral behaviour. Using this framework, we derive a generalized input-output relationship that captures the influence of pulse-shaping on the effective channel. We also introduce a unified modem for delay-Doppler plane pulse-shaping that leads to the proposal of fast convolution based low-complexity structures. Based on our complexity analysis, the proposed modem structures are substantially simpler than the existing ones in the literature. Furthermore, we propose effective techniques that not only reduce the out-of-band (OOB) emissions of circularly pulse-shaped signals but also improve the bit-error-rate (BER) performance of both circular and linear pulse-shaping techniques. Finally, we extensively compare different pulse-shaping techniques using various performance metrics.