



Abstract:This chapter proposes using the Moth Flame Optimization (MFO) algorithm for finetuning a Deep Neural Network to recognize different underwater sonar datasets. Same as other models evolved by metaheuristic algorithms, premature convergence, trapping in local minima, and failure to converge in a reasonable time are three defects MFO confronts in solving problems with high-dimension search space. Spiral flying is the key component of the MFO as it determines how the moths adjust their positions in relation to flames; thereby, the shape of spiral motions can regulate the transition behavior between the exploration and exploitation phases. Therefore, this chapter investigates the efficiency of seven spiral motions with different curvatures and slopes in the performance of the MFO, especially for underwater target classification tasks. To assess the performance of the customized model, in addition to benchmark Sejnowski & Gorman's dataset, two experimental sonar datasets, i.e., the passive sonar and active datasets, are exploited. The results of MFO and its modifications are compared to four novel nature-inspired algorithms, including Heap-Based Optimizer (HBO), Chimp Optimization Algorithm (ChOA), Ant Lion Optimization (ALO), Stochastic Fractals Search (SFS), as well as the classic Particle Swarm Optimization (PSO). The results confirm that the customized MFO shows better performance than the other state-of-the-art models so that the classification rates are increased 1.5979, 0.9985, and 2.0879 for Sejnowski & Gorman, passive, and active datasets, respectively. The results also approve that time complexity is not significantly increased by using different spiral motions.
Abstract:Shuffled Frog Leaping Algorithm (SFLA) is one of the most widespread algorithms. It was developed by Eusuff and Lansey in 2006. SFLA is a population-based metaheuristic algorithm that combines the benefits of memetics with particle swarm optimization. It has been used in various areas, especially in engineering problems due to its implementation easiness and limited variables. Many improvements have been made to the algorithm to alleviate its drawbacks, whether they were achieved through modifications or hybridizations with other well-known algorithms. This paper reviews the most relevant works on this algorithm. An overview of the SFLA is first conducted, followed by the algorithm's most recent modifications and hybridizations. Next, recent applications of the algorithm are discussed. Then, an operational framework of SLFA and its variants is proposed to analyze their uses on different cohorts of applications. Finally, future improvements to the algorithm are suggested. The main incentive to conduct this survey to provide useful information about the SFLA to researchers interested in working on the algorithm's enhancement or application




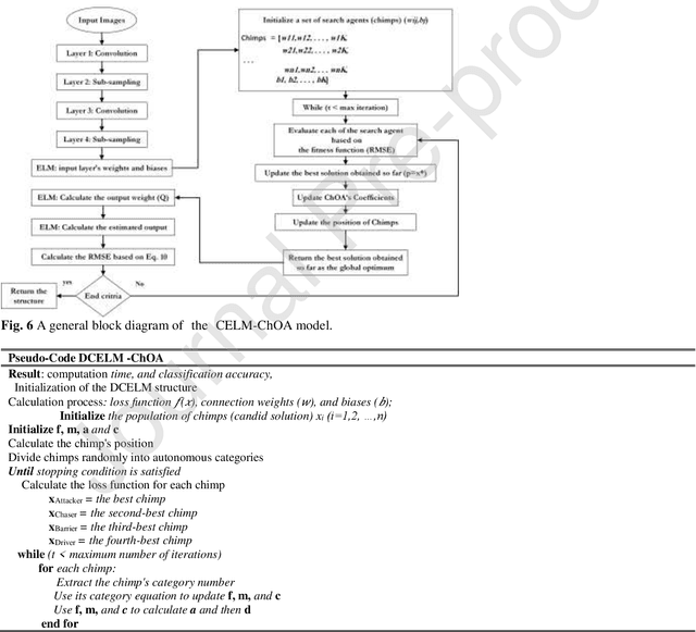
Abstract:Real-time detection of COVID-19 using radiological images has gained priority due to the increasing demand for fast diagnosis of COVID-19 cases. This paper introduces a novel two-phase approach for classifying chest X-ray images. Deep Learning (DL) methods fail to cover these aspects since training and fine-tuning the model's parameters consume much time. In this approach, the first phase comes to train a deep CNN working as a feature extractor, and the second phase comes to use Extreme Learning Machines (ELMs) for real-time detection. The main drawback of ELMs is to meet the need of a large number of hidden-layer nodes to gain a reliable and accurate detector in applying image processing since the detective performance remarkably depends on the setting of initial weights and biases. Therefore, this paper uses Chimp Optimization Algorithm (ChOA) to improve results and increase the reliability of the network while maintaining real-time capability. The designed detector is to be benchmarked on the COVID-Xray-5k and COVIDetectioNet datasets, and the results are verified by comparing it with the classic DCNN, Genetic Algorithm optimized ELM (GA-ELM), Cuckoo Search optimized ELM (CS-ELM), and Whale Optimization Algorithm optimized ELM (WOA-ELM). The proposed approach outperforms other comparative benchmarks with 98.25% and 99.11% as ultimate accuracy on the COVID-Xray-5k and COVIDetectioNet datasets, respectively, and it led relative error to reduce as the amount of 1.75% and 1.01% as compared to a convolutional CNN. More importantly, the time needed for training deep ChOA-ELM is only 0.9474 milliseconds, and the overall testing time for 3100 images is 2.937 seconds.




Abstract:The COVID19 pandemic globally and significantly has affected the life and health of many communities. The early detection of infected patients is effective in fighting COVID19. Using radiology (X-Ray) images is perhaps the fastest way to diagnose the patients. Thereby, deep Convolutional Neural Networks (CNNs) can be considered as applicable tools to diagnose COVID19 positive cases. Due to the complicated architecture of a deep CNN, its real-time training and testing become a challenging problem. This paper proposes using the Extreme Learning Machine (ELM) instead of the last fully connected layer to address this deficiency. However, the parameters' stochastic tuning of ELM's supervised section causes the final model unreliability. Therefore, to cope with this problem and maintain network reliability, the sine-cosine algorithm was utilized to tune the ELM's parameters. The designed network is then benchmarked on the COVID-Xray-5k dataset, and the results are verified by a comparative study with canonical deep CNN, ELM optimized by cuckoo search, ELM optimized by genetic algorithm, and ELM optimized by whale optimization algorithm. The proposed approach outperforms comparative benchmarks with a final accuracy of 98.83% on the COVID-Xray-5k dataset, leading to a relative error reduction of 2.33% compared to a canonical deep CNN. Even more critical, the designed network's training time is only 0.9421 milliseconds and the overall detection test time for 3100 images is 2.721 seconds.