Abstract:The capacity of a discrete-time multiple-input-multiple-output channel with correlated phase noises is investigated. In particular, the electro-optic frequency comb system is considered, where the phase noise of each channel is a combination of two independent Wiener phase-noise sources. Capacity upper and lower bounds are derived for this channel and are compared with lower bounds obtained by numerically evaluating the achievable information rates using quadrature amplitude modulation constellations. Capacity upper and lower bounds are provided for the high signal-to-noise ratio (SNR) regime. The multiplexing gain (pre-log) is shown to be $M-1$, where $M$ represents the number of channels. A constant gap between the asymptotic upper and lower bounds is observed, which depends on the number of channels $M$. For the specific case of $M=2$, capacity is characterized up to a term that vanishes as the SNR grows large.
Abstract:We explore the optimal pilot positioning for phase tracking in electro-optic frequency comb setups. We show that, in contrast to previous results for regular multichannel systems, allocating the first and the last channels for pilots is optimal given a fixed pilot overhead

Abstract:We consider the problem of recovering spatially resolved polarization information from receiver Jones matrices. We introduce a physics-based learning approach, improving noise resilience compared to previous inverse scattering methods, while highlighting challenges related to model overparameterization.




Abstract:In this paper, we analyze the effectiveness of polarization tracking algorithms in optical transmission systems suffering from fast state of polarization (SOP) rotations and polarization-dependent loss (PDL). While most of the gradient descent (GD)-based algorithms in the literature may require step size adjustment when the channel condition changes, we propose tracking algorithms that can perform similarly or better without parameter tuning. Numerical simulation results show higher robustness of the proposed algorithms to SOP and PDL drift compared to GD-based algorithms, making them promising candidates to be used in aerial fiber links where the SOP can potentially drift rapidly, and therefore becomes challenging to track.




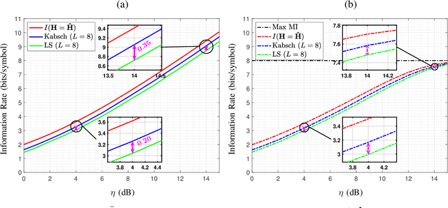
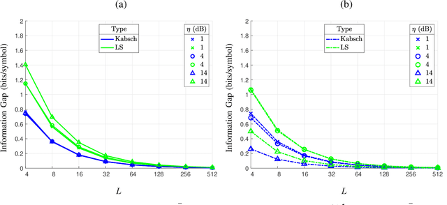
Abstract:In optical fiber communication, due to the random variation of the environment, the state of polarization (SOP) fluctuates randomly with time leading to distortion and performance degradation. The memory-less SOP fluctuations can be regarded as a two-by-two random unitary matrix. In this paper, for what we believe to be the first time, the capacity of the polarization drift channel under an average power constraint with imperfect channel knowledge is characterized. An achievable information rate (AIR) is derived when imperfect channel knowledge is available and is shown to be highly dependent on the channel estimation technique. It is also shown that a tighter lower bound can be achieved when a unitary estimation of the channel is available. However, the conventional estimation algorithms do not guarantee a unitary channel estimation. Therefore, by considering the unitary constraint of the channel, a data-aided channel estimator based on the Kabsch algorithm is proposed, and its performance is numerically evaluated in terms of AIR. Monte Carlo simulations show that Kabsch outperforms the least-square error algorithm. In particular, with complex, Gaussian inputs and eight pilot symbols per block, Kabsch improves the AIR by 0:2 to 0:35 bits/symbol throughout the range of studied signal-to-noise ratios.