



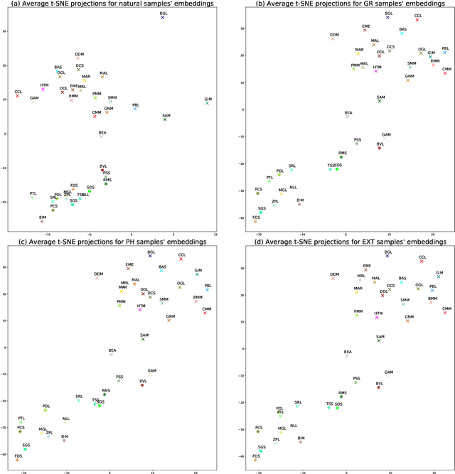
Abstract:Multi-speaker spoken datasets enable the creation of text-to-speech synthesis (TTS) systems which can output several voice identities. The multi-speaker (MSPK) scenario also enables the use of fewer training samples per speaker. However, in the resulting acoustic model, not all speakers exhibit the same synthetic quality, and some of the voice identities cannot be used at all. In this paper we evaluate the influence of the recording conditions, speaker gender, and speaker particularities over the quality of the synthesised output of a deep neural TTS architecture, namely Tacotron2. The evaluation is possible due to the use of a large Romanian parallel spoken corpus containing over 81 hours of data. Within this setup, we also evaluate the influence of different types of text representations: orthographic, phonetic, and phonetic extended with syllable boundaries and lexical stress markings. We evaluate the results of the MSPK system using the objective measures of equal error rate (EER) and word error rate (WER), and also look into the distances between natural and synthesised t-SNE projections of the embeddings computed by an accurate speaker verification network. The results show that there is indeed a large correlation between the recording conditions and the speaker's synthetic voice quality. The speaker gender does not influence the output, and that extending the input text representation with syllable boundaries and lexical stress information does not equally enhance the generated audio across all speaker identities. The visualisation of the t-SNE projections of the natural and synthesised speaker embeddings show that the acoustic model shifts some of the speakers' neural representation, but not all of them. As a result, these speakers have lower performances of the output speech.




Abstract:Building multispeaker neural network-based text-to-speech synthesis systems commonly relies on the availability of large amounts of high quality recordings from each speaker and conditioning the training process on the speaker's identity or on a learned representation of it. However, when little data is available from each speaker, or the number of speakers is limited, the multispeaker TTS can be hard to train and will result in poor speaker similarity and naturalness. In order to address this issue, we explore two directions: forcing the network to learn a better speaker identity representation by appending an additional loss term; and augmenting the input data pertaining to each speaker using waveform manipulation methods. We show that both methods are efficient when evaluated with both objective and subjective measures. The additional loss term aids the speaker similarity, while the data augmentation improves the intelligibility of the multispeaker TTS system.