



Abstract:This paper presents a comprehensive study on low-complexity waveform, modulation and coding (WMC) designs for the 3rd Generation Partnership Project (3GPP) Ambient Internet of Things (A-IoT). A-IoT is a low-cost, low-power IoT system inspired by Ultra High Frequency (UHF) Radio Frequency Identification (RFID) and aims to leverage existing cellular network infrastructure for efficient RF tag management. The paper compares the physical layer (PHY) design challenges and requirements of RFID and A-IoT, particularly focusing on backscatter communications. An overview of the standardization for PHY designs in Release 19 A-IoT is provided, along with detailed schemes of the proposed low-complex WMC designs. The performance of device-to-reader link designs is validated through simulations, demonstrating 6 dB improvements of the proposed baseband waveform with coherent receivers compared to RFID line coding-based solutions with non-coherent receivers when channel coding is adopted.




Abstract:In this paper, we propose a new signal organization method to work in the structure of the multi level coding (MLC). The transmit bits are divided into opportunistic bit (OB) and conventional bit (CB), which are mapped to the lower level- and higher level signal in parallel to the MLC, respectively. Because the OB's mapping does not require signal power explicitly, the energy of the CB modulated symbol can be doubled. As the result, the overall mutual information of the proposed method is found higher than that of the conventional BPSK in one dimensional case. Moreover, the extension of the method to the two-complex-dimension shows the better performance over the QPSK. The numerical results confirm this approach.




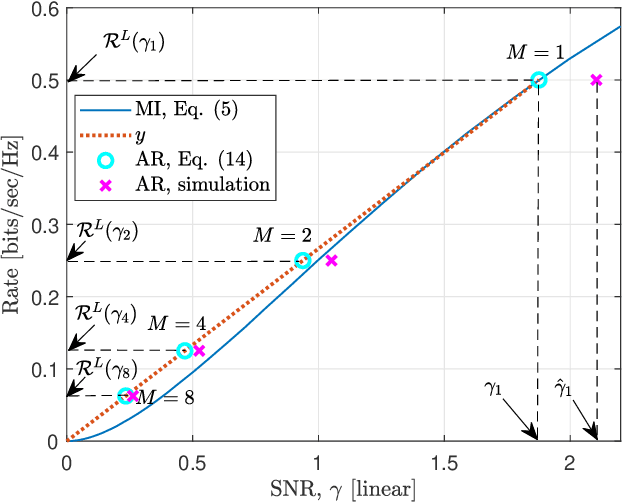
Abstract:In this paper, we focus on the convex mutual information, which was found at the lowest level split in multilevel coding schemes with communications over the additive white Gaussian noise (AWGN) channel. Theoretical analysis shows that communication achievable rates (ARs) do not necessarily below mutual information in the convex region. In addition, simulation results are provided as an evidence.