



Abstract:We study the problem of instance segmentation in biological images with crowded and compact cells. We formulate this task as an integer program where variables correspond to cells and constraints enforce that cells do not overlap. To solve this integer program, we propose a column generation formulation where the pricing program is solved via exact optimization of very small scale integer programs. Column generation is tightened using odd set inequalities which fit elegantly into pricing problem optimization. Our column generation approach achieves fast stable anytime inference for our instance segmentation problems. We demonstrate on three distinct light microscopy datasets, with several hundred cells each, that our proposed algorithm rapidly achieves or exceeds state of the art accuracy.




Abstract:We study the problem of multi-person pose estimation in natural images. A pose estimate describes the spatial position and identity (head, foot, knee, etc.) of every non-occluded body part of a person. Pose estimation is difficult due to issues such as deformation and variation in body configurations and occlusion of parts, while multi-person settings add complications such as an unknown number of people, with unknown appearance and possible interactions in their poses and part locations. We give a novel integer program formulation of the multi-person pose estimation problem, in which variables correspond to assignments of parts in the image to poses in a two-tier, hierarchical way. This enables us to develop an efficient custom optimization procedure based on column generation, where columns are produced by exact optimization of very small scale integer programs. We demonstrate improved accuracy and speed for our method on the MPII multi-person pose estimation benchmark.




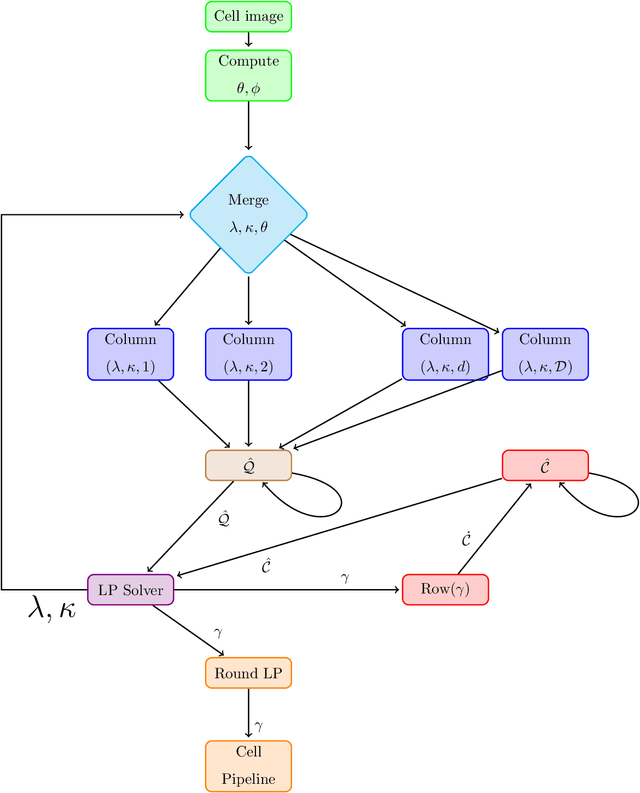
Abstract:We study the problems of multi-person pose segmentation in natural images and instance segmentation in biological images with crowded cells. We formulate these distinct tasks as integer programs where variables correspond to poses/cells. To optimize, we propose a generic relaxation scheme for solving these combinatorial problems using a column generation formulation where the program for generating a column is solved via exact optimization of very small scale integer programs. This results in efficient exploration of the spaces of poses and cells.