



Abstract:Civilian communication during disasters such as earthquakes, floods, and military conflicts is crucial for saving lives. Nevertheless, several challenges exist during these circumstances such as the destruction of cellular communication and electricity infrastructure, lack of line of sight (LoS), and difficulty of localization under the rubble. In this article, we discuss key enablers that can boost communication during disasters, namely, satellite and aerial platforms, redundancy, silencing, and sustainable networks aided with wireless energy transfer (WET). The article also highlights how these solutions can be implemented in order to solve the failure of communication during disasters. Finally, it sheds light on unresolved challenges, as well as future research directions.




Abstract:The number of disasters has increased over the past decade where these calamities significantly affect the functionality of communication networks. In the context of 6G, airborne and spaceborne networks offer hope in disaster recovery to serve the underserved and to be resilient in calamities. Therefore, this paper surveys the state-of-the-art literature on post-disaster wireless communication networks and provides insights for the future establishment of such networks. In particular, we first give an overview of the works investigating the general procedures and strategies for counteracting any large-scale disasters. Then, we present the possible technological solutions for post-disaster communications, such as the recovery of the terrestrial infrastructure, installing aerial networks, and using spaceborne networks. Afterward, we shed light on the technological aspects of post-disaster networks, primarily the physical and networking issues. We present the literature on channel modeling, coverage and capacity, radio resource management, localization, and energy efficiency in the physical layer and discuss the integrated space-air-ground architectures, routing, delay-tolerant/software-defined networks, and edge computing in the networking layer. This paper also presents interesting simulation results which can provide practical guidelines about the deployment of ad hoc network architectures in emergency scenarios. Finally, we present several promising research directions, namely backhauling, placement optimization of aerial base stations, and the mobility-related aspects that come into play when deploying aerial networks, such as planning their trajectories and the consequent handovers.




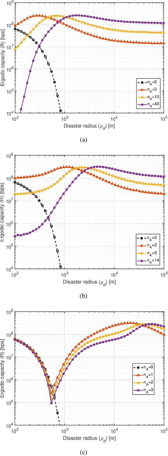
Abstract:In the context of sixth-generation (6G) networks, emergency management systems (EMSs) based on wireless communications have recently gained increasing interest. Hereby, fundamentals and open problems of post-disaster communications are discussed, especially focusing on their topological aspects. The motivation behind this choice is due to the fact that, whenever a natural or a man-made disaster occurs, there is a high chance that the terrestrial communication infrastructure is compromised, and therefore alternative networks need to be deployed efficiently in order to enable the majority of the civilians and the first responders (FRs) to communicate. In this paper, we first provide a brief review of existing aerial ad-hoc networks for post-disaster communications. Next, we shed light on some new aspects of this problem, which are related to the topology of the network supporting the impacted area. Finally, with the aid of selected simulation results, we show how the cellular infrastructure requirements for a disaster-struck region significantly depend on its location and its extension.