



Abstract:The growing integration of urban air mobility (UAM) for urban transportation and delivery has accelerated due to increasing traffic congestion and its environmental and economic repercussions. Efficiently managing the anticipated high-density air traffic in cities is critical to ensure safe and effective operations. In this study, we propose a routing and scheduling framework to address the needs of a large fleet of UAM vehicles operating in urban areas. Using mathematical optimization techniques, we plan efficient and deconflicted routes for a fleet of vehicles. Formulating route planning as a maximum weighted independent set problem enables us to utilize various algorithms and specialized optimization hardware, such as quantum annealers, which has seen substantial progress in recent years. Our method is validated using a traffic management simulator tailored for the airspace in Singapore. Our approach enhances airspace utilization by distributing traffic throughout a region. This study broadens the potential applications of optimization techniques in UAM traffic management.




Abstract:We formulate an optimization problem to control a large number of automated guided vehicles in a plant without collision. The formulation consists of binary variables. A quadratic cost function over these variables enables us to utilize certain solvers on digital computers and recently developed purpose-specific hardware such as D-Wave 2000Q and the Fujitsu digital annealer. In the present study, we consider an actual plant in Japan, in which vehicles run, and assess efficiency of our formulation for optimizing the vehicles via several solvers. We confirm that our formulation can be a powerful approach for performing smooth control while avoiding collisions between vehicles, as compared to a conventional method. In addition, comparative experiments performed using several solvers reveal that D-Wave 2000Q can be useful as a rapid solver for generating a plan for controlling the vehicles in a short time although it deals only with a small number of vehicles, while a digital computer can rapidly solve the corresponding optimization problem even with a large number of binary variables.




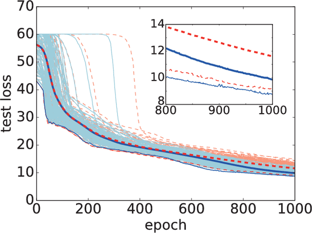
Abstract:We numerically test an optimization method for deep neural networks (DNNs) using quantum fluctuations inspired by quantum annealing. For efficient optimization, our method utilizes the quantum tunneling effect beyond the potential barriers. The path integral formulation of the DNN optimization generates an attracting force to simulate the quantum tunneling effect. In the standard quantum annealing method, the quantum fluctuations will vanish at the last stage of optimization. In this study, we propose a learning protocol that utilizes a finite value for quantum fluctuations strength to obtain higher generalization performance, which is a type of robustness. We demonstrate the performance of our method using two well-known open datasets: the MNIST dataset and the Olivetti face dataset. Although computational costs prevent us from testing our method on large datasets with high-dimensional data, results show that our method can enhance generalization performance by induction of the finite value for quantum fluctuations.