

Abstract:Most evolutionary robotics studies focus on evolving some targeted behavior without taking the energy usage into account. This limits the practical value of such systems because energy efficiency is an important property for real-world autonomous robots. In this paper, we mitigate this problem by extending our simulator with a battery model and taking energy consumption into account during fitness evaluations. Using this system we investigate how energy awareness affects the evolution of robots. Since our system is to evolve morphologies as well as controllers, the main research question is twofold: (i) what is the impact on the morphologies of the evolved robots, and (ii) what is the impact on the behavior of the evolved robots if energy consumption is included in the fitness evaluation? The results show that including the energy consumption in the fitness in a multi-objective fashion (by NSGA-II) reduces the average size of robot bodies while at the same time reducing their speed. However, robots generated without size reduction can achieve speeds comparable to robots from the baseline set.
Abstract:Drinking water supply and distribution systems are critical infrastructure that has to be well maintained for the safety of the public. One important tool in the maintenance of water distribution systems (WDS) is flushing. Flushing is a process carried out in a periodic fashion to clean sediments and other contaminants in the water pipes. Given the different topographies, water composition and supply demand between WDS no single flushing strategy is suitable for all of them. In this report a non-exhaustive overview of optimization methods for flushing in WDS is given. Implementation of optimization methods for the flushing procedure and the flushing planing are presented. Suggestions are given as a possible option to optimise existing flushing planing frameworks.




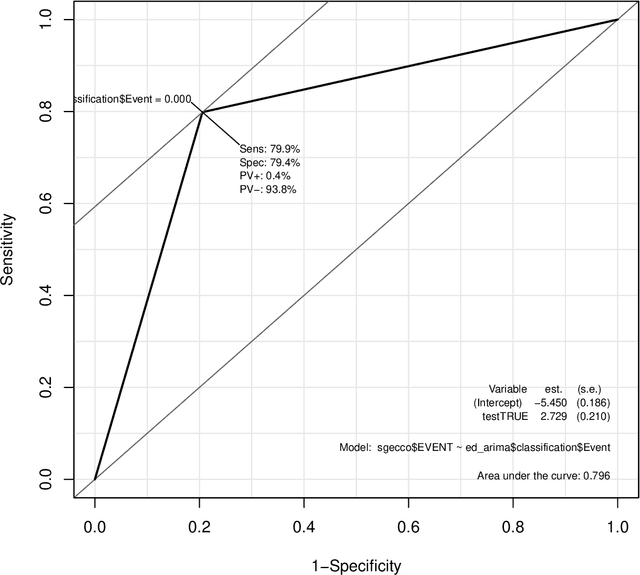
Abstract:EventDetectR: An efficient Event Detection System (EDS) capable of detecting unexpected water quality conditions. This approach uses multiple algorithms to model the relationship between various multivariate water quality signals. Then the residuals of the models were utilized in constructing the event detection algorithm, which provides a continuous measure of the probability of an event at every time step. The proposed framework was tested for water contamination events with industrial data from automated water quality sensors. The results showed that the framework is reliable with better performance and is highly suitable for event detection.