

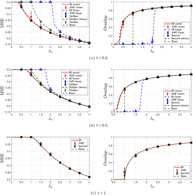
Abstract:We consider the problem of estimating a rank-1 signal corrupted by structured rotationally invariant noise, and address the following question: how well do inference algorithms perform when the noise statistics is unknown and hence Gaussian noise is assumed? While the matched Bayes-optimal setting with unstructured noise is well understood, the analysis of this mismatched problem is only at its premises. In this paper, we make a step towards understanding the effect of the strong source of mismatch which is the noise statistics. Our main technical contribution is the rigorous analysis of a Bayes estimator and of an approximate message passing (AMP) algorithm, both of which incorrectly assume a Gaussian setup. The first result exploits the theory of spherical integrals and of low-rank matrix perturbations; the idea behind the second one is to design and analyze an artificial AMP which, by taking advantage of the flexibility in the denoisers, is able to "correct" the mismatch. Armed with these sharp asymptotic characterizations, we unveil a rich and often unexpected phenomenology. For example, despite AMP is in principle designed to efficiently compute the Bayes estimator, the former is outperformed by the latter in terms of mean-square error. We show that this performance gap is due to an incorrect estimation of the signal norm. In fact, when the SNR is large enough, the overlaps of the AMP and the Bayes estimator coincide, and they even match those of optimal estimators taking into account the structure of the noise.
Abstract:For a model of high-dimensional linear regression with random design, we analyze the performance of an estimator given by the mean of a log-concave Bayesian posterior distribution with gaussian prior. The model is mismatched in the following sense: like the model assumed by the statistician, the labels-generating process is linear in the input data, but both the classifier ground-truth prior and gaussian noise variance are unknown to her. This inference model can be rephrased as a version of the Gardner model in spin glasses and, using the cavity method, we provide fixed point equations for various overlap order parameters, yielding in particular an expression for the mean-square reconstruction error on the classifier (under an assumption of uniqueness of solutions). As a direct corollary we obtain an expression for the free energy. Similar models have already been studied by Shcherbina and Tirozzi and by Talagrand, but our arguments are more straightforward and some assumptions are relaxed. An interesting consequence of our analysis is that in the random design setting of ridge regression, the performance of the posterior mean is independent of the noise variance (or "temperature") assumed by the statistician, and matches the one of the usual (zero temperature) ridge estimator.
Abstract:We consider a generic class of log-concave, possibly random, (Gibbs) measures. Using a new type of perturbation we prove concentration of an infinite family of order parameters called multioverlaps. These completely parametrise the quenched Gibbs measure of the system, so that their self-averaging behavior implies a simple representation of asymptotic Gibbs measures, as well as decoupling of the variables at hand in a strong sense. Our concentration results may prove themselves useful in several contexts. In particular in machine learning and high-dimensional inference, log-concave measures appear in convex empirical risk minimisation, maximum a-posteriori inference or M-estimation. We believe that our results may be applicable in establishing some type of "replica symmetric formulas" for the free energy, inference or generalisation error in such settings.