I3S




Abstract:In this paper, we study the exploration / exploitation trade-off in cellular genetic algorithms. We define a new selection scheme, the centric selection, which is tunable and allows controlling the selective pressure with a single parameter. The equilibrium model is used to study the influence of the centric selection on the selective pressure and a new model which takes into account problem dependent statistics and selective pressure in order to deal with the exploration / exploitation trade-off is proposed: the punctuated equilibria model. Performances on the quadratic assignment problem and NK-Landscapes put in evidence an optimal exploration / exploitation trade-off on both of the classes of problems. The punctuated equilibria model is used to explain these results.




Abstract:Our aim in this paper is to analyse the phenotypic effects (evolvability) of diverse coding conversion operators in an instance of the states based evolutionary algorithm (SEA). Since the representation of solutions or the selection of the best encoding during the optimization process has been proved to be very important for the efficiency of evolutionary algorithms (EAs), we will discuss a strategy of coupling more than one representation and different procedures of conversion from one coding to another during the search. Elsewhere, some EAs try to use multiple representations (SM-GA, SEA, etc.) in intention to benefit from the characteristics of each of them. In spite of those results, this paper shows that the change of the representation is also a crucial approach to take into consideration while attempting to increase the performances of such EAs. As a demonstrative example, we use a two states SEA (2-SEA) which has two identical search spaces but different coding conversion operators. The results show that the way of changing from one coding to another and not only the choice of the best representation nor the representation itself is very advantageous and must be taken into account in order to well-desing and improve EAs execution.




Abstract:In this paper, we study the influence of the selective pressure on the performance of cellular genetic algorithms. Cellular genetic algorithms are genetic algorithms where the population is embedded on a toroidal grid. This structure makes the propagation of the best so far individual slow down, and allows to keep in the population potentially good solutions. We present two selective pressure reducing strategies in order to slow down even more the best solution propagation. We experiment these strategies on a hard optimization problem, the quadratic assignment problem, and we show that there is a value for of the control parameter for both which gives the best performance. This optimal value does not find explanation on only the selective pressure, measured either by take over time and diversity evolution. This study makes us conclude that we need other tools than the sole selective pressure measures to explain the performances of cellular genetic algorithms.




Abstract:This paper presents the Anisotropic selection scheme for cellular Genetic Algorithms (cGA). This new scheme allows to enhance diversity and to control the selective pressure which are two important issues in Genetic Algorithms, especially when trying to solve difficult optimization problems. Varying the anisotropic degree of selection allows swapping from a cellular to an island model of parallel genetic algorithm. Measures of performances and diversity have been performed on one well-known problem: the Quadratic Assignment Problem which is known to be difficult to optimize. Experiences show that, tuning the anisotropic degree, we can find the accurate trade-off between cGA and island models to optimize performances of parallel evolutionary algorithms. This trade-off can be interpreted as the suitable degree of migration among subpopulations in a parallel Genetic Algorithm.




Abstract:The application of genetic algorithms (GAs) to many optimization problems in organizations often results in good performance and high quality solutions. For successful and efficient use of GAs, it is not enough to simply apply simple GAs (SGAs). In addition, it is necessary to find a proper representation for the problem and to develop appropriate search operators that fit well to the properties of the genotype encoding. The representation must at least be able to encode all possible solutions of an optimization problem, and genetic operators such as crossover and mutation should be applicable to it. In this paper, serial alternation strategies between two codings are formulated in the framework of dynamic change of genotype encoding in GAs for function optimization. Likewise, a new variant of GAs for difficult optimization problems denoted {\it Split-and-Merge} GA (SM-GA) is developed using a parallel implementation of an SGA and evolving a dynamic exchange of individual representation in the context of Dual Coding concept. Numerical experiments show that the evolved SM-GA significantly outperforms an SGA with static single coding.




Abstract:In this paper we introduce a new selection scheme in cellular genetic algorithms (cGAs). Anisotropic Selection (AS) promotes diversity and allows accurate control of the selective pressure. First we compare this new scheme with the classical rectangular grid shapes solution according to the selective pressure: we can obtain the same takeover time with the two techniques although the spreading of the best individual is different. We then give experimental results that show to what extent AS promotes the emergence of niches that support low coupling and high cohesion. Finally, using a cGA with anisotropic selection on a Quadratic Assignment Problem we show the existence of an anisotropic optimal value for which the best average performance is observed. Further work will focus on the selective pressure self-adjustment ability provided by this new selection scheme.

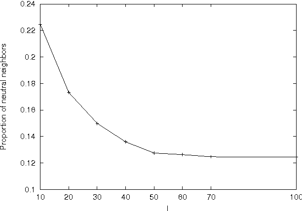
Abstract:This theoretical work defines the measure of autocorrelation of evolvability in the context of neutral fitness landscape. This measure has been studied on the classical MAX-SAT problem. This work highlight a new characteristic of neutral fitness landscapes which allows to design new adapted metaheuristic.


Abstract:This paper introduces the concept of fitness cloud as an alternative way to visualize and analyze search spaces than given by the geographic notion of fitness landscape. It is argued that the fitness cloud concept overcomes several deficiencies of the landscape representation. Our analysis is based on the correlation between fitness of solutions and fitnesses of nearest solutions according to some neighboring. We focus on the behavior of local search heuristics, such as hill climber, on the well-known NK fitness landscape. In both cases the fitness vs. fitness correlation is shown to be related to the epistatic parameter K.




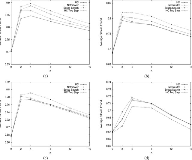
Abstract:We proposed a new search heuristic using the scuba diving metaphor. This approach is based on the concept of evolvability and tends to exploit neutrality which exists in many real-world problems. Despite the fact that natural evolution does not directly select for evolvability, the basic idea behind the scuba search heuristic is to explicitly push evolvability to increase. A comparative study of the scuba algorithm and standard local search heuristics has shown the advantage and the limitation of the scuba search. In order to tune neutrality, we use the NKq fitness landscapes and a family of travelling salesman problems (TSP) where cities are randomly placed on a lattice and where travel distance between cities is computed with the Manhattan metric. In this last problem the amount of neutrality varies with the city concentration on the grid ; assuming the concentration below one, this TSP reasonably remains a NP-hard problem.




Abstract:We proposed a new search heuristic using the scuba diving metaphor. This approach is based on the concept of evolvability and tends to exploit neutrality in fitness landscape. Despite the fact that natural evolution does not directly select for evolvability, the basic idea behind the scuba search heuristic is to explicitly push the evolvability to increase. The search process switches between two phases: Conquest-of-the-Waters and Invasion-of-the-Land. A comparative study of the new algorithm and standard local search heuristics on the NKq-landscapes has shown advantage and limit of the scuba search. To enlighten qualitative differences between neutral search processes, the space is changed into a connected graph to visualize the pathways that the search is likely to follow.