Abstract:Beamforming plays a crucial role in millimeter wave (mmWave) communication systems to mitigate the severe attenuation inherent to this spectrum. However, the use of large active antenna arrays in conventional architectures often results in high implementation costs and excessive power consumption, limiting their practicality. As an alternative, deploying large arrays at transceivers using passive devices, such as reconfigurable intelligent surfaces (RISs), offers a more cost-effective and energy-efficient solution. In this paper, we investigate a promising base station (BS) architecture that integrates a beyond diagonal RIS (BD-RIS) within the BS to enable passive beamforming. By utilizing Takagi's decomposition and leveraging the effective beamforming vector, the RIS profile can be designed to enable passive beamforming directed toward the target. Through the beamforming analysis, we reveal that BD-RIS provides robust beamforming performance across various system configurations, whereas the traditional diagonal RIS (D-RIS) exhibits instability with increasing RIS size and decreasing BS-RIS separation-two critical factors in optimizing RIS-assisted systems. Comprehensive computer simulation results across various aspects validate the superiority of the proposed BS-integrated BD-RIS over conventional D-RIS architectures, showcasing performance comparable to active analog beamforming antenna arrays.




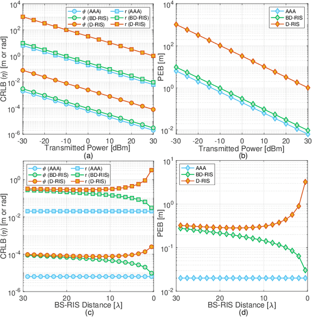
Abstract:This paper introduces a novel approach to efficient localization in next-generation communication systems through a base station (BS)-enabled passive beamforming utilizing beyond diagonal reconfigurable intelligent surfaces (BD-RISs). Unlike conventional diagonal RISs (D-RISs), which suffer from limited beamforming capability, a BD-RIS provides enhanced control over both phase and amplitude, significantly improving localization accuracy. By conducting a comprehensive Cram\'er-Rao lower bound (CRLB) analysis across various system parameters in both near-field and far-field scenarios, we establish the BD-RIS structure as a competitive alternative to traditional active antenna arrays. Our results reveal that BD-RISs achieve near active antenna arrays performance in localization precision, overcoming the limitations of D-RISs and underscoring its potential for high-accuracy positioning in future communication networks. This work envisions the use of BD-RIS for enabling passive beamforming-based localization, setting the stage for more efficient and scalable localization strategies in sixth-generation networks and beyond.




Abstract:Integrating reconfigurable intelligent surfaces (RISs) in emerging communication systems is a fast-growing research field that has recently earned much attention. While implementing RISs near the base station (BS), i.e., BS-side RIS, or user equipment (UE), i.e., UE-side RIS, exhibits optimum performance, understanding the differences between these two deployments in terms of the system design perspective needs to be clarified. Critical design parameters, such as RIS size, phase shift adjustment, control link, and element type (passive/active), require greater clarity across these scenarios. Overlooking the intricacies of such critical design parameters in light of 6G demands endangers practical implementation, widening the gap between theoretical insights and practical applications. In this regard, our study investigates the impact of each RIS deployment strategy on the anticipated 6G requirements and offers tailored RIS design recommendations to fulfill these forward-looking requirements. Through this, we clarify the practical distinctions and propose a comprehensive framework for differentiating between BS-side and UE-side RIS scenarios in terms of their design parameters. Highlighting the unique needs of each and the potential challenges ahead, we aim to fuse the theoretical underpinnings of RIS with tangible implementation considerations, propelling progress in both the academic sphere and the industry.




Abstract:This paper presents a promising design concept for reconfigurable intelligent surfaces (RISs), named plug-in RIS, wherein the RIS is plugged into an appropriate position in the environment, adjusted once according to the location of both base station and blocked region, and operates with fixed beams to enhance the system performance. The plug-in RIS is a novel system design, streamlining RIS-assisted millimeter-wave (mmWave) communication without requiring decoupling two parts of the end-to-end channel, traditional control signal transmission, and online RIS configuration. In plug-in RIS-aided transmission, the transmitter efficiently activates specific regions of the divided large RIS by employing hybrid beamforming techniques, each with predetermined phase adjustments tailored to reflect signals to desired user locations. This user-centric approach enhances connectivity and overall user experience by dynamically illuminating the targeted user based on location. By introducing plug-in RIS's theoretical framework, design principles, and performance evaluation, we demonstrate its potential to revolutionize mmWave communications in limited channel state information (CSI) scenarios. Simulation results illustrate that plug-in RIS provides power/cost-efficient solutions to overcome blockage in the mmWave communication system and a striking convergence in average bit error rate and achievable rate performance with traditional full CSI-enabled RIS solutions.




Abstract:This paper investigates the effect of various antenna array structures, i.e., uniform linear array (ULA), uniform rectangular array (URA), uniform circular array (UCA), and concentric circular array (CCA), on cluster index modulation (CIM) enabled massive multiple-input multiple-output (mMIMO) millimeter-wave (mmWave) communications systems. As the CIM technique indexes spatial clusters to convey additional information bits, the different radiation characteristics caused by different array structures can significantly affect system performance. By analyzing the effects of array characteristics such as radiation pattern, array directivity, half-power beam width (HPBW), and radiation side lobes on bit error rate (BER) performance, we reveal that URA achieves better error performance than its counterparts in a CIM-enabled mmWave system. We demonstrate that narrower beams alone cannot guarantee better BER performance in a CIM-based system. Instead, other radiation characteristics, especially radiation side lobes, can significantly influence system performance by entailing extra interference in the non-intended directions. Illustrative results show that URA owes its superiority to its lower side lobes. We also propose an algorithm to implement fixed phase shifters (FPS) as a hardware-efficient (HE) analog network structure (beamformer/combiner) to reduce cost and energy consumption in mmWave systems and investigate the effect of a non-ideal analog network on the BER performance for different array structures. It is demonstrated that HE systems with a few FPSs can achieve similar BER performance compared to the optimum (OP) analog network structure.




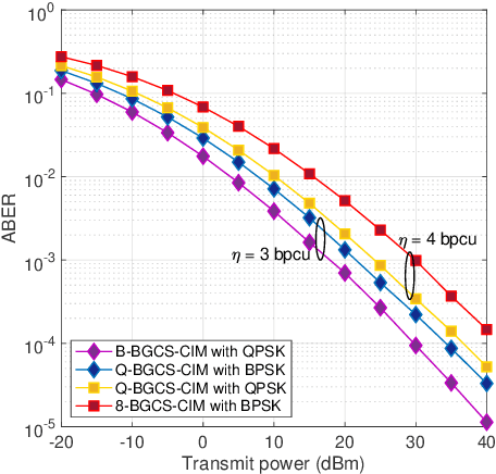
Abstract:In this paper, we propose a transmission mechanism for a reconfigurable intelligent surface (RIS)-assisted millimeter wave (mmWave) system based on cluster index modulation (CIM), named best-gain optimized cluster selection CIM (BGCS-CIM). The proposed BGCS-CIM scheme considers effective cluster power gain and spatial diversity gain obtained by the additional paths within the indexed cluster to construct an efficient codebook. We also integrate the proposed scheme into a practical system model to create a virtual path between transmitter and receiver where the direct link has been blocked. Thanks to the designed whitening filter, a closed-form expression for the upper bound on the average bit error rate (ABER) is derived and used to validate the simulation results. It has been shown that the proposed BGCS-CIM scheme outperforms the existing benchmarks thanks to its higher effective cluster gain, spatial diversity of indexed clusters, and lower inter-cluster interference.




Abstract:This paper investigates a multi-hop cognitive radio network in terms of end-to-end bit delivery. The network exploits backscatter communication (BackCom) and harvest-then-transmit (HTT) mode in a hybrid manner. Such a network can be used in internet of things (IoT) applications in which IoT users coexist with a primary network (PN) and use the primary spectrum to transmit data in both BackCom and HTT modes. Besides, such users can harvest energy from the primary signals. A novel hybrid backscatter and conventional transmission (HBCT) algorithm is proposed in order to maximize end-to-end bit delivery by jointly optimizing time and power allocations. For this goal, we formulate a non-convex optimization problem. Next, we transform the problem into a convex one and develop a new analytical formulation by which we calculate the optimal power and time allocation in closed-form equations. The numerical results demonstrate the superiority of HBCT compared with current schemes.