Abstract:We report the first direct comparisons of multiple alternative social media algorithms on multiple platforms on outcomes of societal interest. We used a browser extension to modify which posts were shown to desktop social media users, randomly assigning 9,386 users to a control group or one of five alternative ranking algorithms which simultaneously altered content across three platforms for six months during the US 2024 presidential election. This reduced our preregistered index of affective polarization by an average of 0.03 standard deviations (p < 0.05), including a 1.5 degree decrease in differences between the 100 point inparty and outparty feeling thermometers. We saw reductions in active use time for Facebook (-0.37 min/day) and Reddit (-0.2 min/day), but an increase of 0.32 min/day (p < 0.01) for X/Twitter. We saw an increase in reports of negative social media experiences but found no effects on well-being, news knowledge, outgroup empathy, perceptions of and support for partisan violence. This implies that bridging content can improve some societal outcomes without necessarily conflicting with the engagement-driven business model of social media.




Abstract:Short video platforms, such as YouTube, Instagram, or TikTok, are used by billions of users. These platforms expose users to harmful content, ranging from clickbait or physical harms to hate or misinformation. Yet, we lack a comprehensive understanding and measurement of online harm on short video platforms. Toward this end, we present two large-scale datasets of multi-modal and multi-categorical online harm: (1) 60,906 systematically selected potentially harmful YouTube videos and (2) 19,422 videos annotated by three labeling actors: trained domain experts, GPT-4-Turbo (using 14 image frames, 1 thumbnail, and text metadata), and crowdworkers (Amazon Mechanical Turk master workers). The annotated dataset includes both (a) binary classification (harmful vs. harmless) and (b) multi-label categorizations of six harm categories: Information, Hate and harassment, Addictive, Clickbait, Sexual, and Physical harms. Furthermore, the annotated dataset provides (1) ground truth data with videos annotated consistently across (a) all three actors and (b) the majority of the labeling actors, and (2) three data subsets labeled by individual actors. These datasets are expected to facilitate future work on online harm, aid in (multi-modal) classification efforts, and advance the identification and potential mitigation of harmful content on video platforms.
Abstract:Short video platforms, such as YouTube, Instagram, or TikTok, are used by billions of users globally. These platforms expose users to harmful content, ranging from clickbait or physical harms to misinformation or online hate. Yet, detecting harmful videos remains challenging due to an inconsistent understanding of what constitutes harm and limited resources and mental tolls involved in human annotation. As such, this study advances measures and methods to detect harm in video content. First, we develop a comprehensive taxonomy for online harm on video platforms, categorizing it into six categories: Information, Hate and harassment, Addictive, Clickbait, Sexual, and Physical harms. Next, we establish multimodal large language models as reliable annotators of harmful videos. We analyze 19,422 YouTube videos using 14 image frames, 1 thumbnail, and text metadata, comparing the accuracy of crowdworkers (Mturk) and GPT-4-Turbo with domain expert annotations serving as the gold standard. Our results demonstrate that GPT-4-Turbo outperforms crowdworkers in both binary classification (harmful vs. harmless) and multi-label harm categorization tasks. Methodologically, this study extends the application of LLMs to multi-label and multi-modal contexts beyond text annotation and binary classification. Practically, our study contributes to online harm mitigation by guiding the definitions and identification of harmful content on video platforms.



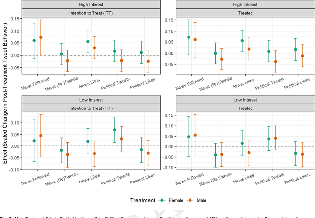
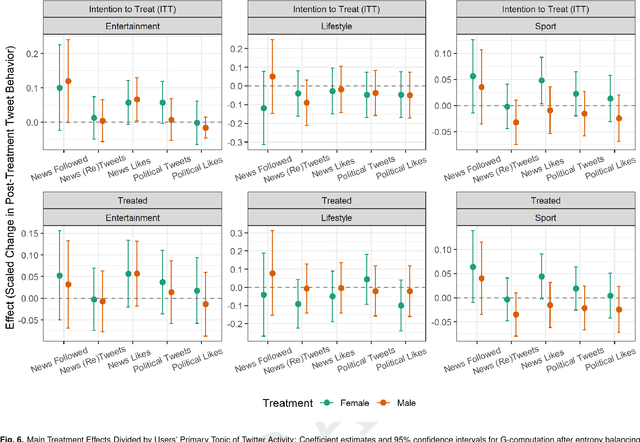
Abstract:Polarization, declining trust, and wavering support for democratic norms are pressing threats to U.S. democracy. Exposure to verified and quality news may lower individual susceptibility to these threats and make citizens more resilient to misinformation, populism, and hyperpartisan rhetoric. This project examines how to enhance users' exposure to and engagement with verified and ideologically balanced news in an ecologically valid setting. We rely on a large-scale two-week long field experiment (from 1/19/2023 to 2/3/2023) on 28,457 Twitter users. We created 28 bots utilizing GPT-2 that replied to users tweeting about sports, entertainment, or lifestyle with a contextual reply containing two hardcoded elements: a URL to the topic-relevant section of quality news organization and an encouragement to follow its Twitter account. To further test differential effects by gender of the bots, treated users were randomly assigned to receive responses by bots presented as female or male. We examine whether our over-time intervention enhances the following of news media organization, the sharing and the liking of news content and the tweeting about politics and the liking of political content. We find that the treated users followed more news accounts and the users in the female bot treatment were more likely to like news content than the control. Most of these results, however, were small in magnitude and confined to the already politically interested Twitter users, as indicated by their pre-treatment tweeting about politics. These findings have implications for social media and news organizations, and also offer direction for future work on how Large Language Models and other computational interventions can effectively enhance individual on-platform engagement with quality news and public affairs.