



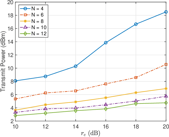
Abstract:As an emerging antenna technology, a fluid antenna system (FAS) enhances spatial diversity to improve both sensing and communication performance by shifting the active antennas among available ports. In this letter, we study the potential of shifting the integrated sensing and communication (ISAC) trade-off with FAS. We propose the model for FAS-enabled ISAC and jointly optimize the transmit beamforming and port selection of FAS. In particular, we aim to minimize the transmit power, while satisfying both communication and sensing requirements. An efficient iterative algorithm based on sparse optimization, convex approximation, and a penalty approach is developed. The simulation results show that the proposed scheme can attain 33% reductions in transmit power with guaranteed sensing and communication performance, showing the great potential of the fluid antenna for striking a flexible tradeoff between sensing and communication in ISAC systems.