Abstract:Parton Distribution Functions (PDFs) play a central role in describing experimental data at colliders and provide insight into the structure of nucleons. As the LHC enters an era of high-precision measurements, a robust PDF determination with a reliable uncertainty quantification has become mandatory in order to match the experimental precision. The NNPDF collaboration has pioneered the use of Machine Learning (ML) techniques for PDF determinations, using Neural Networks (NNs) to parametrise the unknown PDFs in a flexible and unbiased way. The NNs are then trained on experimental data by means of stochastic gradient descent algorithms. The statistical robustness of the results is validated by extensive closure tests using synthetic data. In this work, we develop a theoretical framework based on the Neural Tangent Kernel (NTK) to analyse the training dynamics of neural networks. This approach allows us to derive, under precise assumptions, an analytical description of the neural network evolution during training, enabling a quantitative understanding of the training process. Having an analytical handle on the training dynamics allows us to clarify the role of the NN architecture and the impact of the experimental data in a transparent way. Similarly, we are able to describe the evolution of the covariance of the NN output during training, providing a quantitative description of how uncertainties are propagated from the data to the fitted function. While our results are not a substitute for PDF fitting, they do provide a powerful diagnostic tool to assess the robustness of current fitting methodologies. Beyond its relevance for particle physics phenomenology, our analysis of PDF determinations provides a testbed to apply theoretical ideas about the learning process developed in the ML community.
Abstract:This paper presents a study of the effectiveness of Neural Network (NN) techniques for deconvolution inverse problems relevant for applications in Quantum Field Theory, but also in more general contexts. We consider NN's asymptotic limits, corresponding to Gaussian Processes (GPs), where non-linearities in the parameters of the NN can be neglected. Using these resulting GPs, we address the deconvolution inverse problem in the case of a quantum harmonic oscillator simulated through Monte Carlo techniques on a lattice. In this simple toy model, the results of the inversion can be compared with the known analytical solution. Our findings indicate that solving the inverse problem with a NN yields less performing results than those obtained using the GPs derived from NN's asymptotic limits. Furthermore, we observe the trained NN's accuracy approaching that of GPs with increasing layer width. Notably, one of these GPs defies interpretation as a probabilistic model, offering a novel perspective compared to established methods in the literature. Our results suggest the need for detailed studies of the training dynamics in more realistic set-ups.




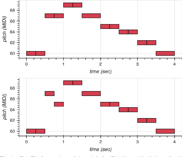
Abstract:We use Google's MusicVAE, a Variational Auto-Encoder with a 512-dimensional latent space to represent a few bars of music, and organize the latent dimensions according to their relevance in describing music. We find that, on average, most latent neurons remain silent when fed real music tracks: we call these "noise" neurons. The remaining few dozens of latent neurons that do fire are called "music neurons". We ask which neurons carry the musical information and what kind of musical information they encode, namely something that can be identified as pitch, rhythm or melody. We find that most of the information about pitch and rhythm is encoded in the first few music neurons: the neural network has thus constructed a couple of variables that non-linearly encode many human-defined variables used to describe pitch and rhythm. The concept of melody only seems to show up in independent neurons for longer sequences of music.



Abstract:A trivializing map is a field transformation whose Jacobian determinant exactly cancels the interaction terms in the action, providing a representation of the theory in terms of a deterministic transformation of a distribution from which sampling is trivial. Recently, a proof-of-principle study by Albergo, Kanwar and Shanahan [arXiv:1904.12072] demonstrated that approximations of trivializing maps can be `machine-learned' by a class of invertible, differentiable neural models called \textit{normalizing flows}. By ensuring that the Jacobian determinant can be computed efficiently, asymptotically exact sampling from the theory of interest can be performed by drawing samples from a simple distribution and passing them through the network. From a theoretical perspective, this approach has the potential to become more efficient than traditional Markov Chain Monte Carlo sampling techniques, where autocorrelations severely diminish the sampling efficiency as one approaches the continuum limit. A major caveat is that it is not yet understood how the size of models and the cost of training them is expected to scale. As a first step, we have conducted an exploratory scaling study using two-dimensional $\phi^4$ with up to $20^2$ lattice sites. Although the scope of our study is limited to a particular model architecture and training algorithm, initial results paint an interesting picture in which training costs grow very quickly indeed. We describe a candidate explanation for the poor scaling, and outline our intentions to clarify the situation in future work.




Abstract:We train a set of Restricted Boltzmann Machines (RBMs) on one- and two-dimensional Ising spin configurations at various values of temperature, generated using Monte Carlo simulations. We validate the training procedure by monitoring several estimators, including measurements of the log-likelihood, with the corresponding partition functions estimated using annealed importance sampling. The effects of various choices of hyper-parameters on training the RBM are discussed in detail, with a generic prescription provided. Finally, we present a closed form expression for extracting the values of couplings, for every $n$-point interaction between the visible nodes of an RBM, in a binary system such as the Ising model. We aim at using this study as the foundation for further investigations of less well-known systems.