Abstract:An ambiguity-free direction-of-arrival (DOA) estimation scheme is proposed for sparse uniform linear arrays under low signal-to-noise ratios (SNRs) and non-stationary broadband signals. First, for achieving better DOA estimation performance at low SNRs while using non-stationary signals compared to the conventional frequency-difference (FD) paradigms, we propose parameterized time-frequency transform-based FD processing. Then, the unambiguous compressive FD beamforming is conceived to compensate the resolution loss induced by difference operation. Finally, we further derive a coarse-to-fine histogram statistics scheme to alleviate the perturbation in compressive FD beamforming with good DOA estimation accuracy. Simulation results demonstrate the superior performance of our proposed algorithm regarding robustness, resolution, and DOA estimation accuracy.




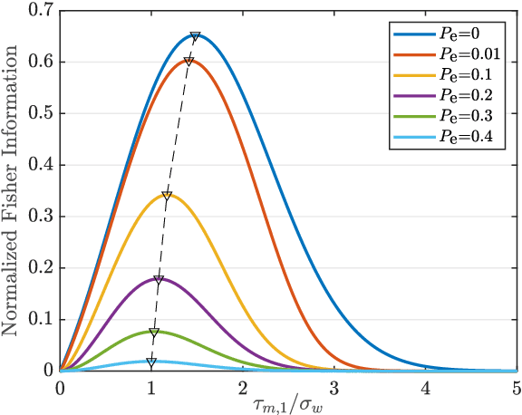
Abstract:We consider a distributed detection problem within a wireless sensor network (WSN), where a substantial number of sensors cooperate to detect the existence of sparse stochastic signals. To achieve a trade-off between detection performance and system constraints, multi-bit quantizers are employed at local sensors. Then, two quantization strategies, namely raw quantization (RQ) and likelihood ratio quantization (LQ), are examined. The multi-bit quantized signals undergo encoding into binary codewords and are subsequently transmitted to the fusion center via error-prone reporting channels. Upon exploiting the locally most powerful test (LMPT) strategy, we devise two multi-bit LMPT detectors in which quantized raw observations and local likelihood ratios are fused respectively. Moreover, the asymptotic detection performance of the proposed quantized detectors is analyzed, and closed-form expressions for the detection and false alarm probabilities are derived. Furthermore, the multi-bit quantizer design criterion, considering both RQ and LQ, is then proposed to achieve near-optimal asymptotic performance for our proposed detectors. The normalized Fisher information and asymptotic relative efficiency are derived, serving as tools to analyze and compensate for the loss of information introduced by the quantization. Simulation results validate the effectiveness of the proposed detectors, especially in scenarios with low signal-to-noise ratios and poor channel conditions.