
Abstract:This concept paper highlights a recently opened opportunity for large scale analytical algorithms to be trained directly on edge devices. Such approach is a response to the arising need of processing data generated by natural person (a human being), also known as personal data. Spiking Neural networks are the core method behind it: suitable for a low latency energy-constrained hardware, enabling local training or re-training, while not taking advantage of scalability available in the Cloud.



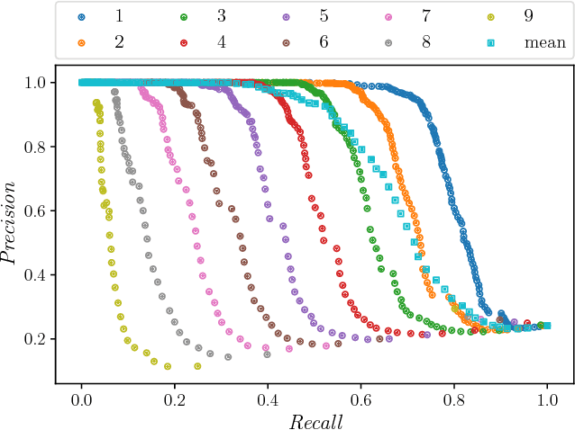
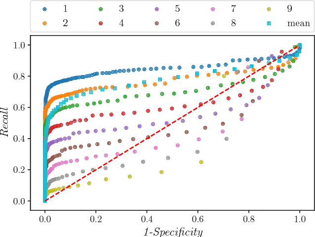
Abstract:In this paper, we present a methodology and the corresponding Python library 1 for the classification of webpages. Our method retrieves a fixed number of images from a given webpage, and based on them classifies the webpage into a set of established classes with a given probability. The library trains a random forest model build upon the features extracted from images by a pre-trained deep network. The implementation is tested by recognizing weapon class webpages in a curated list of 3859 websites. The results show that the best method of classifying a webpage into the studies classes is to assign the class according to the maximum probability of any image belonging to this (weapon) class being above the threshold, across all the retrieved images. Further research explores the possibilities for the developed methodology to also apply in image classification for healthcare applications.