



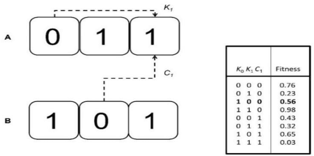
Abstract:The NKCS model was introduced to explore coevolutionary systems, that is, systems in which multiple species are closely interconnected. The fitness landscapes of the species are coupled to a controllable amount, where the underlying properties of the individual landscapes are also controllable. No previous work has explored the use of hierarchical control within the model. This paper explores the effects of using a confederation, based on Bookchins communalism, and a single point of global control. Significant changes in behaviour from the traditional model are seen across the parameter space.



Abstract:This short paper presents the idea that neural backpropagation is using dendritic processing to enable individual neurons to perform autoencoding. Using a very simple connection weight search heuristic and artificial neural network model, the effects of interleaving autoencoding for each neuron in a hidden layer of a feedforward network are explored. This is contrasted to the standard layered approach to autoencoding. It is shown that such individualised processing is not detrimental and can improve network learning.
Abstract:This paper investigates how adjustments to deep learning architectures impact model performance in image classification. Small-scale experiments generate initial insights although the trends observed are not consistent with the entire dataset. Filtering operations in the image processing pipeline are crucial, with image filtering before pre-processing yielding better results. The choice and order of layers as well as filter placement significantly impact model performance. This study provides valuable insights into optimizing deep learning models, with potential avenues for future research including collaborative platforms.




Abstract:Cooperative coevolutionary algorithms (CCEAs) divide a given problem in to a number of subproblems and use an evolutionary algorithm to solve each subproblem. This short paper is concerned with the scenario under which only a single, global fitness measure exists. By removing the typically used subproblem partnering mechanism, it is suggested that such CCEAs can be viewed as making use of a generalised version of the global crossover operator introduced in early Evolution Strategies. Using the well-known NK model of fitness landscapes, the effects of varying aspects of global crossover with respect to the ruggedness of the underlying fitness landscape are explored. Results suggest improvements over the most widely used form of CCEAs, something further demonstrated using other well-known test functions.




Abstract:Random Boolean networks have been used widely to explore aspects of gene regulatory networks. A modified form of the model through which to systematically explore the effects of increasing the number of gene states has previously been introduced. In this paper, these discrete dynamical networks are coevolved within coupled, rugged fitness landscapes to explore their behaviour. Results suggest the general properties of the Boolean model remain with higher valued logic regardless of the update scheme or fitness sampling method. Introducing topological asymmetry in the coevolving networks is seen to alter behaviour.




Abstract:This article presents the first results from using a learning classifier system capable of performing adaptive computation with deep neural networks. Individual classifiers within the population are composed of two neural networks. The first acts as a gating or guarding component, which enables the conditional computation of an associated deep neural network on a per instance basis. Self-adaptive mutation is applied upon reproduction and prediction networks are refined with stochastic gradient descent during lifetime learning. The use of fully-connected and convolutional layers are evaluated on handwritten digit recognition tasks where evolution adapts (i) the gradient descent learning rate applied to each layer (ii) the number of units within each layer, i.e., the number of fully-connected neurons and the number of convolutional kernel filters (iii) the connectivity of each layer, i.e., whether each weight is active (iv) the weight magnitudes, enabling escape from local optima. The system automatically reduces the number of weights and units while maintaining performance after achieving a maximum prediction error.




Abstract:Sexual selection is a fundamental aspect of evolution for all eukaryotic organisms with mating types. This paper suggests intersexual selection is best viewed as a mechanism to compensate for the unavoidable dynamics of coevolution between sexes that emerge with isogamy. Using the NK model of fitness landscapes, the conditions under which allosomes emerge are first explored. This extends previous work on the evolution of sex where the fitness landscape smoothing of a rudimentary form of the Baldwin effect is suggested as the underlying cause. The NKCS model of coevolution is then used to show how varying fitness landscape size, ruggedness, and connectedness can vary the conditions under which a very simple sexual selection mechanism proves beneficial. This is found to be the case whether one or both sexes exploit sexual selection.




Abstract:Evolutionary algorithms have long been used for optimization problems where the appropriate size of solutions is unclear a priori. The applicability of this methodology is here investigated on the problem of designing a nano-particle (NP) based drug delivery system targeting cancer tumours. Utilizing a treatment comprising of multiple types of NPs is expected to be more effective due to the higher complexity of the treatment. This paper begins by utilizing the well-known NK model to explore the effects of fitness landscape ruggedness upon the evolution of genome length and, hence, solution complexity. The size of a novel sequence and the absence or presence of sequence deletion are also considered. Results show that whilst landscape ruggedness can alter the dynamics of the process, it does not hinder the evolution of genome length. These findings are then explored within the aforementioned real-world problem. In the first known instance, treatments with multiple types of NPs are used simultaneously, via an agent-based open source physics-based cell simulator. The results suggest that utilizing multiple types of NPs is more efficient when the solution space is explored with the evolutionary techniques under a predefined computational budget.




Abstract:The significant role of dendritic processing within neuronal networks has become increasingly clear. This letter explores the effects of including a simple dendrite-inspired mechanism into neuroevolution. The phenomenon of separate dendrite activation thresholds on connections is allowed to emerge under an evolutionary process. It is shown how such processing can be positively selected for, particularly for connections between the hidden and output layer, and increases performance.




Abstract:The potentially beneficial interaction between learning and evolution, the Baldwin effect, has long been established. This paper considers their interaction within a coevolutionary scenario, ie, where the adaptations of one species typically affects the fitness of others. Using the NKCS model, which allows the systematic exploration of the effects of fitness landscape size, ruggedness, and degree of coupling, it is shown how the amount of learning and the relative rate of evolution can alter behaviour.