



Abstract:This paper provides a simulated laboratory for making use of Reinforcement Learning (RL) for chemical discovery. Since RL is fairly data intensive, training agents `on-the-fly' by taking actions in the real world is infeasible and possibly dangerous. Moreover, chemical processing and discovery involves challenges which are not commonly found in RL benchmarks and therefore offer a rich space to work in. We introduce a set of highly customizable and open-source RL environments, ChemGymRL, based on the standard Open AI Gym template. ChemGymRL supports a series of interconnected virtual chemical benches where RL agents can operate and train. The paper introduces and details each of these benches using well-known chemical reactions as illustrative examples, and trains a set of standard RL algorithms in each of these benches. Finally, discussion and comparison of the performances of several standard RL methods are provided in addition to a list of directions for future work as a vision for the further development and usage of ChemGymRL.




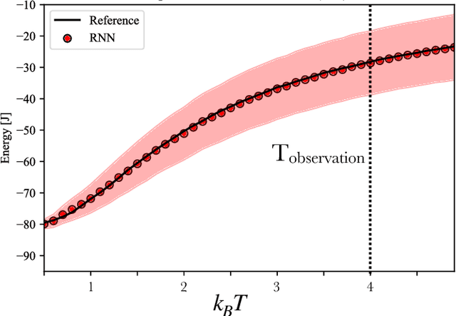
Abstract:Transfer learning refers to the use of knowledge gained while solving a machine learning task and applying it to the solution of a closely related problem. Such an approach has enabled scientific breakthroughs in computer vision and natural language processing where the weights learned in state-of-the-art models can be used to initialize models for other tasks which dramatically improve their performance and save computational time. Here we demonstrate an unsupervised learning approach augmented with basic physical principles that achieves fully transferrable learning for problems in statistical physics across different physical regimes. By coupling a sequence model based on a recurrent neural network to an extensive deep neural network, we are able to learn the equilibrium probability distributions and inter-particle interaction models of classical statistical mechanical systems. Our approach, distribution-consistent learning, DCL, is a general strategy that works for a variety of canonical statistical mechanical models (Ising and Potts) as well as disordered (spin-glass) interaction potentials. Using data collected from a single set of observation conditions, DCL successfully extrapolates across all temperatures, thermodynamic phases, and can be applied to different length-scales. This constitutes a fully transferrable physics-based learning in a generalizable approach.